基本信息
| 产品名称 |
鞘氨醇半乳糖苷-3'-硫酸酯 |
| 英文名 |
Psychosine-3'-Sulfate Ester |
| 别名 |
Sodium (2R,3R,4R,5S,6R)-2-[(E,2S,3R)-2-Amino-3-Hydroxy-Octadec-4-Enoxy]-5-Hydroxy-6-(Hydroxymethyl)-4-Sulfooxy-Tetrahydropyran-3-Olate; Sodium (2R,3R,4R,5S,6R)-2-[(E,2S,3R)-2-Amino-3-Hydroxyoctadec-4-Enoxy]-5-Hydroxy-6-(Hydroxymethyl)-4-Sulfooxy-3-Tetrahydropyranolate; Sodium (2R,3R,4R,5S,6R)-2-[(E,2S,3R)-2-Amino-3-Hydroxy-Octadec-4-Enoxy]-5-Hydroxy-6-Methylol-4-Sulfoxy-Tetrahydropyran-3-Olate |
|
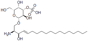
| 分子结构 |
 |
| 分子式 |
C24H46NNaO10S |
| 分子量 |
563.68 |
| CAS 登录号 |
70005-46-8 |
| 分子行输入简码 SMILES |
[C@@H]1(O[S](=O)(=O)O)[C@@H]([O-])[C@@H](O[C@@H]([C@@H]1O)CO)OC[C@H](N)[C@H](O)\C=C\CCCCCCCCCCCCC.[Na+] |
| 国际化学标识码 InChI |
1S/C24H46NO10S.Na/c1-2-3-4-5-6-7-8-9-10-11-12-13-14-15-19(27)18(25)17-33-24-22(29)23(35-36(30,31)32)21(28)20(16-26)34-24;/h14-15,18-24,26-28H,2-13,16-17,25H2,1H3,(H,30,31,32);/q-1;+1/b15-14+;/t18-,19+,20+,21-,22+,23-,24+;/m0./s1 |
| 国际化学标识检索码 InChIKey |
YNZCBVKPSQVVAL-BIFWVYATSA-N |
|