基本信息
| 产品名称 |
S-[2,3-二(棕榈酰氧基)丙基]-N-棕榈酰半胱氨酸 |
| 英文名 |
S-[2,3-Bis(palmitoyloxy)propyl]-N-palmitoylcysteine |
| 别名 |
3-(2,3-bis(palmitoyloxy)propylthio)-2-palmitamidopropanoic acid; PALMITOYL-S-[2,3-BIS(PALMITOYLOXY)-(2RS)-PROPYL]-L-CYSTEINE |
|
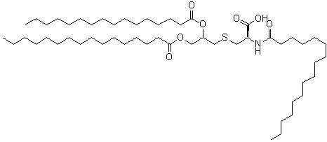
| 分子结构 |
![CAS 登录号:70512-46-8, S-[2,3-二(棕榈酰氧基)丙基]-N-棕榈酰半胱氨酸](/moreStructures/70512-46-8.gif) |
| 分子式 |
C54H103NO7S |
| 分子量 |
910.46 |
| CAS 登录号 |
70512-46-8 |
| 分子行输入简码 SMILES |
O=C(OC(CSCC(NC(=O)CCCCCCCCCCCCCCC)C(=O)O)COC(=O)CCCCCCCCCCCCCCC)CCCCCCCCCCCCCCC |
| 国际化学标识码 InChI |
1S/C54H103NO7S/c1-4-7-10-13-16-19-22-25-28-31-34-37-40-43-51(56)55-50(54(59)60)48-63-47-49(62-53(58)45-42-39-36-33-30-27-24-21-18-15-12-9-6-3)46-61-52(57)44-41-38-35-32-29-26-23-20-17-14-11-8-5-2/h49-50H,4-48H2,1-3H3,(H,55,56)(H,59,60) |
| 国际化学标识检索码 InChIKey |
PZFZLRNAOHUQPH-UHFFFAOYSA-N |
|