全球化学品在线数据库

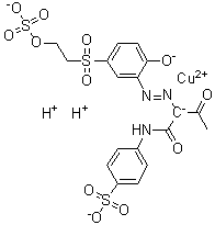
[4-[[2-[[2-羟基-5-[[2-(磺基氧基)乙基]磺酰基]苯基]偶氮]-1,3-二氧代丁基]氨基]苯磺酸基]二氢铜酸
[CAS 72854-39-8]

供应商目录
Alfa Chemistry 美国
www.alfa-chemistry.com
+1 (201) 478-8534
+1 (516) 927-0118
inquiry@alfa-chemistry.com
化学品供销商 (2012年起)
chemBlink 标准供应商 (2012年起)

基本信息
产品名称[4-[[2-[[2-羟基-5-[[2-(磺基氧基)乙基]磺酰基]苯基]偶氮]-1,3-二氧代丁基]氨基]苯磺酸基]二氢铜酸
英文名[4-[[2-[[2-Hydroxy-5-[[2-(sulfooxy)ethyl]sulfonyl]phenyl]azo]-1,3-dioxobutyl]amino]benzenesulfonato]cuprate dihydrogen
分子结构[4-[[2-[[2-羟基-5-[[2-(磺基氧基)乙基]磺酰基]苯基]偶氮]-1,3-二氧代丁基]氨基]苯磺酸基]二氢铜酸分子结构 (CAS 72854-39-8)
分子式C18H15CuN3O12S3.H2
分子量627.08
CAS 登录号72854-39-8
市场分析报告
相关产品
4-羟基-5-[[(4-甲基苯...  4-羟基-5-[[(甲基苯基)...  4-羟基-5-[[4-[4-[...  4-羟基-5-[[4-[[4-...  4-羟基-5-[[4-[[4-...  4-羟基-5-[[4-[[[[...  4-羟基-5-[[4-[[1-...  4-羟基-5-[[4-[[5-...  2-羟基-5-[2-[[2-羟...  4-羟基-5-[[1-氧代-3...  6-羟基-5-[[2,5-二甲...  [4-羟基-5-[[2-羟基-...  6-羟基-5-[[4-(苯基氨...  2-羟基-5-[2-[4-[(...  2-羟基-5-[2-[4-[2...  2-羟基-5-[[4-[(4-...  2-羟基-5-[[4-[[4-...  4-羟基-5-[[8-[(8-...  8-羟基-5-[1-羟基-2-...  3-羟基-5-[1-羟基-2-...