全球化学品在线数据库

肽F
[CAS 75718-92-2]

供应商
CAS#: 75718-92-2
产品: 肽F
暂时没有厂家供应该产品。
基本信息
产品名称 肽F
英文名 Peptide F
别名 Preproenkephalin (107-140); Proenkephalin Peptide F
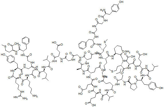
分子结构 CAS 登录号:75718-92-2, 肽F
分子式 C172H259N41O53S3
分子量 3845.36
CAS 登录号 75718-92-2
分子行输入简码 SMILES [C@@H]4(N(C(=O)[C@@H](NC(=O)[C@@H](NC(=O)[C@@H](NC(=O)[C@@H](NC(=O)[C@@H](NC(=O)[C@@H](NC(=O)[C@@H](NC(=O)[C@@H](NC(=O)[C@@H](NC(=O)CNC(=O)CNC(=O)[C@@H](N)CC1=CC=C(O)C=C1)CC2=CC=CC=C2)CCSC)CCCCN)CCCCN)CCSC)CC(=O)O)CCC(=O)O)CC(C)C)CC3=CC=C(O)C=C3)CCC4)C(=O)N[C@H](C(=O)N[C@H](C(=O)N[C@H](C(=O)N[C@H](C(=O)N[C@H](C(=O)N[C@H](C(=O)N[C@H](C(=O)N[C@H](C(=O)NCC(=O)NCC(=O)N[C@H](C(=O)N[C@H](C(=O)N[C@H](C(=O)NCC(=O)N[C@H](C(=O)N[C@H](C(=O)N[C@H](C(=O)NCC(=O)NCC(=O)N[C@H](C(=O)N[C@H](C(=O)O)CCSC)CC5=CC=CC=C5)CC6=CC=C(O)C=C6)CCCNC(=N)N)CCCCN)CC(C)C)C(C)C)CCC(=O)O)CC(=O)N)C)CCC(=O)O)CCC(=O)O)CCC(=O)O)C(C)C)CCC(=O)O)CC(C)C
国际化学标识码 InChI 1S/C172H259N41O53S3/c1-90(2)73-118(147(241)187-89-135(224)189-105(33-21-24-65-173)151(245)195-108(36-27-68-180-172(178)179)154(248)206-121(79-99-40-46-102(215)47-41-99)148(242)185-84-130(219)183-88-134(223)192-123(78-97-31-19-16-20-32-97)165(259)203-117(171(265)266)64-72-269-14)209-169(263)144(94(9)10)211-160(254)109(50-56-136(225)226)190-132(221)86-181-131(220)85-186-149(243)124(81-128(177)217)204-145(239)95(11)188-150(244)110(51-57-137(227)228)196-155(249)111(52-58-138(229)230)197-156(250)113(54-60-140(233)234)202-168(262)143(93(7)8)212-161(255)114(55-61-141(235)236)199-162(256)120(75-92(5)6)208-167(261)127-37-28-69-213(127)170(264)126(80-100-42-48-103(216)49-43-100)210-163(257)119(74-91(3)4)205-157(251)112(53-59-139(231)232)198-166(260)125(82-142(237)238)207-159(253)116(63-71-268-13)200-153(247)107(35-23-26-67-175)193-152(246)106(34-22-25-66-174)194-158(252)115(62-70-267-12)201-164(258)122(77-96-29-17-15-18-30-96)191-133(222)87-182-129(218)83-184-146(240)104(176)76-98-38-44-101(214)45-39-98/h15-20,29-32,38-49,90-95,104-127,143-144,214-216H,21-28,33-37,50-89,173-176H2,1-14H3,(H2,177,217)(H,181,220)(H,182,218)(H,183,219)(H,184,240)(H,185,242)(H,186,243)(H,187,241)(H,188,244)(H,189,224)(H,190,221)(H,191,222)(H,192,223)(H,193,246)(H,194,252)(H,195,245)(H,196,249)(H,197,250)(H,198,260)(H,199,256)(H,200,247)(H,201,258)(H,202,262)(H,203,259)(H,204,239)(H,205,251)(H,206,248)(H,207,253)(H,208,261)(H,209,263)(H,210,257)(H,211,254)(H,212,255)(H,225,226)(H,227,228)(H,229,230)(H,231,232)(H,233,234)(H,235,236)(H,237,238)(H,265,266)(H4,178,179,180)/t95-,104-,105-,106-,107-,108-,109-,110-,111-,112-,113-,114-,115-,116-,117-,118-,119-,120-,121-,122-,123-,124-,125-,126-,127-,143-,144-/m0/s1
国际化学标识检索码 InChIKey RJSZPKZQGIKVAU-UXBJKDEOSA-N
市场分析报告
相关产品
他达拉非 EP 杂质E  他达拉非-d3  他达拉非EP杂质I  他达拉非氧代内酰胺  他达拉非-杂质G  泰地罗新  他地那非; 他达那非; (6R...  酞丁安  (S)-泰地唑利  钛二(磷酸氢盐)  泰伐洛星  他非诺喹  他非诺喹琥珀酸盐  他氟前列素; (5Z)-7-[...  他氟前列素游离酸  他福新二乙酸酯  台勾霉素 B  他谷酰胺; 他谷酿胺  苔黑酚龙胆二糖苷  苔黑酚葡萄糖苷