全球化学品在线数据库

11-[[2-[(2-氧代-2-氧代乙基)-[2-[(2-氧代-2-氧代乙基)-[2-[(2-氧代-2-氧代乙基)-[2-[(11-氧代-11-氧代十一烷基)氨基]-2-氧代乙基]氨基]乙基]氨基]乙基]氨基]乙酰基]氨基]十一烷酸五钠
[CAS 75977-88-7]

供应商
CAS#: 75977-88-7
产品: 11-[[2-[(2-氧代-2-氧代乙基)-[2-[(2-氧代-2-氧代乙基)-[2-[(2-氧代-2-氧代乙基)-[2-[(11-氧代-11-氧代十一烷基)氨基]-2-氧代乙基]氨基]乙基]氨基]乙基]氨基]乙酰基]氨基]十一烷酸五钠
暂时没有厂家供应该产品。
基本信息
产品名称 11-[[2-[(2-氧代-2-氧代乙基)-[2-[(2-氧代-2-氧代乙基)-[2-[(2-氧代-2-氧代乙基)-[2-[(11-氧代-11-氧代十一烷基)氨基]-2-氧代乙基]氨基]乙基]氨基]乙基]氨基]乙酰基]氨基]十一烷酸五钠
英文名 Pentasodium 11-[[2-[(2-Oxido-2-Oxoethyl)-[2-[(2-Oxido-2-Oxoethyl)-[2-[(2-Oxido-2-Oxoethyl)-[2-[(11-Oxido-11-Oxoundecyl)Amino]-2-Oxoethyl]Amino]Ethyl]Amino]Ethyl]Amino]Acetyl]Amino]Undecanoate
别名 Pentasodium 11-[[2-[(2-Oxido-2-Oxo-Ethyl)-[2-[(2-Oxido-2-Oxo-Ethyl)-[2-[(2-Oxido-2-Oxo-Ethyl)-[2-[(11-Oxido-11-Oxo-Undecyl)Amino]-2-Oxo-Ethyl]Amino]Ethyl]Amino]Ethyl]Amino]Acetyl]Amino]Undecanoate; Pentasodium 11-[[2-[(2-Oxido-2-Oxoethyl)-[2-[(2-Oxido-2-Oxoethyl)-[2-[(2-Oxido-2-Oxoethyl)-[2-[(11-Oxido-11-Oxoundecyl)Amino]-2-Oxoethyl]Amino]Ethyl]Amino]Ethyl]Amino]-1-Oxoethyl]Amino]Undecanoate; Pentasodium 11-[[2-[2-[2-[[2-Keto-2-[(11-Keto-11-Oxido-Undecyl)Amino]Ethyl]-(2-Keto-2-Oxido-Ethyl)Amino]Ethyl-(2-Keto-2-Oxido-Ethyl)Amino]Ethyl-(2-Keto-2-Oxido-Ethyl)Amino]Acetyl]Amino]Undecanoate
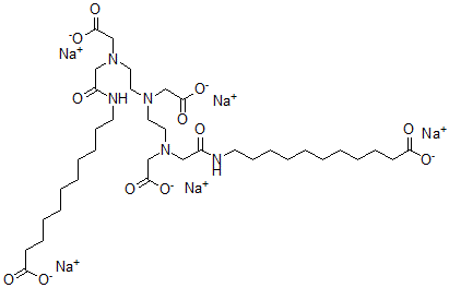
分子结构 CAS 登录号:75977-88-7, 11-[[2-[(2-氧代-2-氧代乙基)-[2-[(2-氧代-2-氧代乙基)-[2-[(2-氧代-2-氧代乙基)-[2-[(11-氧代-11-氧代十一烷基)氨基]-2-氧代乙基]氨基]乙基]氨基]乙基]氨基]乙酰基]氨基]十一烷酸五钠
分子式 C36H60N5Na5O12
分子量 869.85
CAS 登录号 75977-88-7
分子行输入简码 SMILES N(C(=O)CN(CCN(CCN(CC(=O)NCCCCCCCCCCC([O-])=O)CC([O-])=O)CC([O-])=O)CC([O-])=O)CCCCCCCCCCC([O-])=O.[Na+].[Na+].[Na+].[Na+].[Na+]
国际化学标识码 InChI 1S/C36H65N5O12.5Na/c42-30(37-19-15-11-7-3-1-5-9-13-17-32(44)45)25-40(28-35(50)51)23-21-39(27-34(48)49)22-24-41(29-36(52)53)26-31(43)38-20-16-12-8-4-2-6-10-14-18-33(46)47;;;;;/h1-29H2,(H,37,42)(H,38,43)(H,44,45)(H,46,47)(H,48,49)(H,50,51)(H,52,53);;;;;/q;5*+1/p-5
国际化学标识检索码 InChIKey ATMFVJQFJPYFEX-UHFFFAOYSA-I
物理化学性质
沸点 998.7°C at 760 mmHg (计算值)
闪点 557.8°C (计算值)
市场分析报告
相关产品
(2E)-4-氧代-2-戊烯-...  4-氧代-2-戊烯二酸 1,5...  (2E)-4-氧代-2-戊烯酸  (2E)-4-氧代-2-戊烯酸...  (2E)-4-氧代-2-戊烯酸...  4-氧代-2-戊烯酸乙酯  (2E)-4-氧代-2-戊烯酰...  3-氧代-2-戊亚基环戊烷乙酸...  (2E)-7-氧代-2-辛烯腈  [2-氧代-2-[2-氧代-5...  2-[2-[(2-氧代-2-氧...  2-(2-氧代-2-氧代乙基)...  2-(2-氧代-2-氧代乙氧基...  (1S,4S)-3-氧代-2-...  (1R,4R)-3-氧代-2-...  3-氧代-2-氧杂双环[2.2...  (1R,4R,5R)-3-氧代...  (1R,4R,5R)-3-氧代...  (1R,4R,6R)-3-氧代...  3-氧代-2-氧杂双环[3.2...