|
CAS#: 75993-96-3 产品: (2,2'-L-丝氨酸)-短杆菌肽S 暂时没有厂家供应该产品。 |
| 产品名称 | (2,2'-L-丝氨酸)-短杆菌肽S |
|---|---|
| 英文名 | (2,2'-L-Serine)-Gramicidin S |
| 别名 | (Ser(2,2'))-Gs; Gramicidin S, 2-L-Serine-7-L-Serine- |
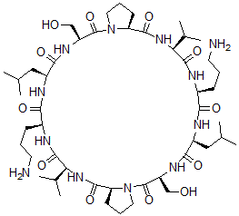
| 分子结构 | ![]() |
| 分子式 | C48H84N12O12 |
| 分子量 | 1021.26 |
| CAS 登录号 | 75993-96-3 |
| 分子行输入简码 SMILES | [C@@H]13N(C(=O)[C@@H](NC(=O)[C@@H](NC(=O)[C@@H](NC(=O)[C@@H](NC(=O)[C@H]2N(C(=O)[C@@H](NC(=O)[C@@H](NC(=O)[C@@H](NC(=O)[C@@H](NC1=O)C(C)C)CCCN)CC(C)C)CO)CCC2)C(C)C)CCCN)CC(C)C)CO)CCC3 |
| 国际化学标识码 InChI | 1S/C48H84N12O12/c1-25(2)21-31-41(65)55-33(23-61)47(71)59-19-11-15-35(59)43(67)58-38(28(7)8)46(70)52-30(14-10-18-50)40(64)54-32(22-26(3)4)42(66)56-34(24-62)48(72)60-20-12-16-36(60)44(68)57-37(27(5)6)45(69)51-29(13-9-17-49)39(63)53-31/h25-38,61-62H,9-24,49-50H2,1-8H3,(H,51,69)(H,52,70)(H,53,63)(H,54,64)(H,55,65)(H,56,66)(H,57,68)(H,58,67)/t29-,30-,31-,32-,33-,34-,35-,36-,37-,38-/m0/s1 |
| 国际化学标识检索码 InChIKey | HKFAPAJSPVVFOZ-YRYMBYOHSA-N |
| 密度 | 1.278g/cm3 (计算值) |
|---|---|
| 沸点 | 1385.506°C at 760 mmHg (计算值) |
| 闪点 | 791.725°C (计算值) |
| 市场分析报告 |