全球化学品在线数据库

威灵仙皂甙 AR
[CAS 761425-93-8]

供应商目录
BOC Sciences 美国
www.bocsci.com
+1 (631) 485-4226
+1 (631) 614-7828
info@bocsci.com
化学品生产商
chemBlink 标准供应商 (2010年起)
成都普瑞法科技开发有限公司 中国
www.phytopurify.com
+86 (28) 8263-3860
8263-3987
+86 (28) 8263-3165
sales@biopurify.com
biopurify@gmail.com
QQ Chat
Skype Chat
化学品生产商
chemBlink 标准供应商 (2017年起)

基本信息
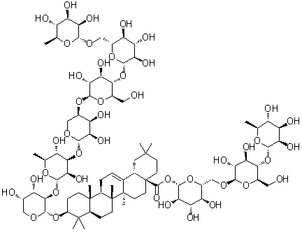
产品名称威灵仙皂甙 AR
英文名Clematichinenoside AR
别名(3beta)-3-[(O-6-Deoxy-alpha-L-mannopyranosyl-(1→6)-O-beta-D-glucopyranosyl-(1→4)-O-beta-D-glucopyranosyl-(1→4)-O-beta-D-ribopyranosyl-(1→3)-O-6-deoxy-alpha-L-mannopyranosyl-(1→2)-alpha-L-arabinopyranosyl)oxy]-olean-12-en-28-oic acid O-6-deoxy-alpha-L-mannopyranosyl-(1→4)-O-beta-D-glucopyranosyl-(1→6)-beta-D-glucopyranosyl ester
分子结构威灵仙皂甙 AR分子结构 (CAS 761425-93-8)
分子式C82H134O43
分子量1807.92
CAS 登录号761425-93-8
物理化学性质
密度1.58±0.1 g/cm3 (20 °C 760 Torr), 计算值*
*使用计算机软件 Advanced Chemistry Development (ACD/Labs) Software V11.02 (©1994-2017 ACD/Labs)
市场分析报告
相关产品
(R)-维拉帕米盐酸盐  R(+)-维拉帕米盐酸盐  维拉帕米乙基甲烷硫代磺酸酯溴化...  维拉普利  维拉烟肼  维拉佐酮  维拉佐酮杂质10  韦利贝特  韦利莫根  委陵菜酸  威灵仙皂甙 C  微粒体氨基肽酶  维利西呱  维罗茶碱  维罗非尼  (R)-维洛沙嗪-d5盐酸盐  (S)-维洛沙嗪-d5盐酸盐  (S)-维洛沙嗪盐酸盐  (R)-维洛沙嗪盐酸盐  维洛斯明碱