全球化学品在线数据库

辛烷二肼基n酰胺
[CAS 7707-18-8]

供应商
CAS#: 7707-18-8
产品: 辛烷二肼基n酰胺
暂时没有厂家供应该产品。
基本信息
产品名称 辛烷二肼基n酰胺
英文名 Octanedihydrazonamide
别名 1,6-Bis(imino-hydrazino-methyl)hexane
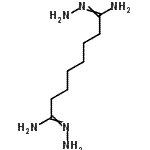
分子结构 CAS 登录号:7707-18-8, 辛烷二肼基n酰胺
分子式 C8H20N6
分子量 200.28
CAS 登录号 7707-18-8
分子行输入简码 SMILES N(=C(N)CCCCCCC(=NN)N)N
国际化学标识码 InChI 1S/C8H20N6/c9-7(13-11)5-3-1-2-4-6-8(10)14-12/h1-6,11-12H2,(H2,9,13)(H2,10,14)
国际化学标识检索码 InChIKey OBRQDXQTBYOSRG-UHFFFAOYSA-N
物理化学性质
密度 1.268g/cm3 (计算值)
沸点 430.425°C at 760 mmHg (计算值)
闪点 214.113°C (计算值)
市场分析报告
相关产品
1,1'-(1,8-辛烷二基)...  1,8-辛烷二基二(膦酸)  1,1'-[1,8-辛烷二基二...  4,4'-[1,8-辛烷二基二...  4,4'-[1,8-辛烷二基二...  4,4'-[1,8-辛烷二基二...  6,6'-{1,8-辛烷二基二...  6,6'-{1,8-辛烷二基二...  N,N'''-1,8-辛烷二基...  1,2-辛烷二基二乙酸酯  1,8-辛烷二硫醇二乙酸酯  辛烷二脒  1,8-辛烷二醛四甲基缩醛  2,4-辛烷二酮  2,5-辛烷二酮  2,6-辛烷二酮  2,3-辛烷二酮  辛烷二酰胺  1,8-辛烷二异硫氰酸酯  1-辛烷磺酸