基本信息
| 产品名称 |
beta-氰基乙基-腺苷5'-(1-硫代二磷酸酯) |
| 英文名 |
beta-Cyanoethyl-Adenosine 5'-(1-Thiodiphosphate) |
| 别名 |
[[(2R,3S,4R,5R)-5-(6-Aminopurin-9-Yl)-3,4-Dihydroxy-Tetrahydrofuran-2-Yl]Methoxy-Hydroxy-Phosphinothioyl] 2-Cyanoethyl Hydrogen Phosphate; [[(2R,3S,4R,5R)-5-(6-Amino-9-Purinyl)-3,4-Dihydroxy-2-Tetrahydrofuranyl]Methoxy-Hydroxyphosphinothioyl] 2-Cyanoethyl Hydrogen Phosphate; [[(2R,3S,4R,5R)-5-(6-Aminopurin-9-Yl)-3,4-Dihydroxy-Tetrahydrofuran-2-Yl]Methoxy-Hydroxy-Thiophosphoryl] 2-Cyanoethyl Hydrogen Phosphate |
|
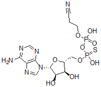
| 分子结构 |
 |
| 分子式 |
C13H18N6O9P2S |
| 分子量 |
496.33 |
| CAS 登录号 |
81655-27-8 |
| 分子行输入简码 SMILES |
[C@H]1(O[C@@H]([C@@H](O)[C@H]1O)CO[P](=S)(O[P](OCCC#N)(=O)O)O)[N]2C3=C(N=C2)C(=NC=N3)N |
| 国际化学标识码 InChI |
1S/C13H18N6O9P2S/c14-2-1-3-25-29(22,23)28-30(24,31)26-4-7-9(20)10(21)13(27-7)19-6-18-8-11(15)16-5-17-12(8)19/h5-7,9-10,13,20-21H,1,3-4H2,(H,22,23)(H,24,31)(H2,15,16,17)/t7-,9-,10-,13-,30?/m1/s1 |
| 国际化学标识检索码 InChIKey |
JOYCYBBHTRKFTI-PAMZGVKKSA-N |
|