全球化学品在线数据库

辅酶 A 过硫化物
[CAS 81918-99-2]

供应商
CAS#: 81918-99-2
产品: 辅酶 A 过硫化物
暂时没有厂家供应该产品。
基本信息
产品名称 辅酶 A 过硫化物
英文名 Coenzyme A Persulfide
别名 [(2R,3S,4R,5R)-5-(6-Aminopurin-9-Yl)-4-Hydroxy-3-Phosphonooxy-Tetrahydrofuran-2-Yl]Methyl [[(3R)-4-[[3-(2-Disulfanylethylamino)-3-Oxo-Propyl]Amino]-3-Hydroxy-2,2-Dimethyl-4-Oxo-Butoxy]-Hydroxy-Phosphoryl] Hydrogen Phosphate; [(2R,3S,4R,5R)-5-(6-Amino-9-Purinyl)-4-Hydroxy-3-Phosphonooxy-2-Tetrahydrofuranyl]Methyl [[(3R)-4-[[3-(2-Disulfanylethylamino)-3-Oxopropyl]Amino]-3-Hydroxy-2,2-Dimethyl-4-Oxobutoxy]-Hydroxyphosphoryl] Hydrogen Phosphate; [(2R,3S,4R,5R)-5-(6-Aminopurin-9-Yl)-4-Hydroxy-3-Phosphonooxy-Tetrahydrofuran-2-Yl]Methyl [[(3R)-4-[[3-(2-Disulfanylethylamino)-3-Keto-Propyl]Amino]-3-Hydroxy-4-Keto-2,2-Dimethyl-Butoxy]-Hydroxy-Phosphoryl] Hydrogen Phosphate
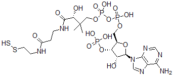
分子结构 CAS 登录号:81918-99-2, 辅酶 A 过硫化物
分子式 C21H36N7O16P3S2
分子量 799.59
CAS 登录号 81918-99-2
分子行输入简码 SMILES [C@H]1(O[C@@H]([C@@H](O[P](=O)(O)O)[C@H]1O)CO[P](O[P](OCC([C@@H](O)C(=O)NCCC(=O)NCCSS)(C)C)(=O)O)(=O)O)[N]2C3=C(N=C2)C(=NC=N3)N
国际化学标识码 InChI 1S/C21H36N7O16P3S2/c1-21(2,16(31)19(32)24-4-3-12(29)23-5-6-49-48)8-41-47(38,39)44-46(36,37)40-7-11-15(43-45(33,34)35)14(30)20(42-11)28-10-27-13-17(22)25-9-26-18(13)28/h9-11,14-16,20,30-31,48H,3-8H2,1-2H3,(H,23,29)(H,24,32)(H,36,37)(H,38,39)(H2,22,25,26)(H2,33,34,35)/t11-,14-,15-,16+,20-/m1/s1
国际化学标识检索码 InChIKey REVPHPVBPSIEKM-IBOSZNHHSA-N
物理化学性质
密度 1.971g/cm3 (计算值)
市场分析报告
相关产品
富马酸一钠  富马酸乙酯钾盐  富马酸扎莫特罗  富马酸正丁酯  富马酰胺  富马酰乙酰乙酸酯  氟马西尼; 8-氟-5,6-二...  氟马西尼 EP 杂质A  辅酶 A  辅酶 A 二硫醚八锂盐  辅酶 A 锂盐(1:3)  辅酶 A S-(2-亚甲基环丙...  辅酶 A S-(3-羧基-3-...  辅酶 A S-(3-氧代丁酸酯...  辅酶 A S-(9Z,12Z)...  辅酶 A S-丁酸酯  辅酶 A S-己酸酯三锂盐  辅酶 A S-十九烷酸酯  辅酶 A S-十四烷酸酯锂盐  辅酶 A S-辛酸酯