全球化学品在线数据库

胸苷 5'→P''-[P''(R)]-硫代三磷酸酯
[CAS 83199-35-3]

供应商目录
Alfa Chemistry 美国
www.alfa-chemistry.com
+1 (201) 478-8534
+1 (516) 927-0118
inquiry@alfa-chemistry.com
化学品供销商 (2012年起)
chemBlink 标准供应商 (2012年起)

基本信息
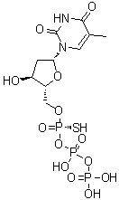
产品名称胸苷 5'→P''-[P''(R)]-硫代三磷酸酯
英文名Thymidine, 5'→P''-ester with [P''(R)]-thiotriphosphoric acid
分子结构胸苷 5'→P''-[P''(R)]-硫代三磷酸酯分子结构 (CAS 83199-35-3)
分子式C10H17N2O13P3S
分子量498.23
CAS 登录号83199-35-3
物理化学性质
溶解度溶解 (85 g/L) (25 °C), 计算值*
密度1.863±0.06 g/cm3 (20 °C 760 Torr), 计算值*
*使用计算机软件 Advanced Chemistry Development (ACD/Labs) Software V11.02 (©1994-2016 ACD/Labs)
市场分析报告
相关产品
alpha-胸苷  beta-胸苷  胸苷 3'-(4-氧代戊酸酯)  胸苷 3',5'-二磷酸酯  胸苷 3',5'-二乙酸酯  胸苷 3',5'-环单磷酸酯钠...  胸苷 5'-(4-甲基苯磺酸酯...  胸苷 5'-(三氢二磷酸酯) ...  胸苷 5'-(三氢二磷酸酯)与...  胸苷 5'-(四氢三磷酸酯) ...  胸苷 5'-二磷酸酯 4-氧代...  胸苷 5'-O-特戊酸酯  胸苷 5'-三磷酸酯三钠盐  胸苷[2-14C]  胸苷-1',2',3',4',...  胸苷-2'-13C  胸苷-3',5'-二磷酸酯二钠...  胸苷-3’,5’-二(p-硝基...  胸苷-3'-13C  胸苷3'-苯甲酸酯