全球化学品在线数据库

七(2,6-二-O-叔丁基二甲基硅烷基)-beta-环糊精
[CAS 84346-53-2]

供应商目录
卡博森斯化学科技 (苏州) 有限公司 中国
www.carbosynth.cn
+86 (512) 6260-5585
+86 (512) 6260-5576
sales@carbosynth.com
QQ Chat
化学品生产商 (2006年起)
chemBlink 标准供应商 (2016年起)

基本信息
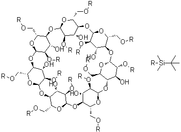
产品名称七(2,6-二-O-叔丁基二甲基硅烷基)-beta-环糊精
英文名Heptakis(2,6-di-O-tert-butyldimethylsilyl)-beta-cyclodextrin
别名Heptakis(2,6-di(tert-butyldimethylsilyl))-beta-cyclodextrin; Heptakis(2,6-di-O-tert-butyldimethylsilyl) cyclomaltoheptaose
分子结构七(2,6-二-O-叔丁基二甲基硅烷基)-beta-环糊精分子结构 (CAS 84346-53-2)
分子式C126H266O35Si14
分子量2734.64
CAS 登录号84346-53-2
物理化学性质
溶解度极易溶解 (1000 g/L) (25 °C), 计算值*
密度1.07±0.1 g/cm3 (20 °C 760 Torr), 计算值*
熔点289-291 °C (chloroform m乙醇 )**
*使用计算机软件 Advanced Chemistry Development (ACD/Labs) Software V11.02 (©1994-2016 ACD/Labs)
**Fugedi, Peter
市场分析报告
相关产品
Pyridoxatine  Pyrindamycin A  Pyriofenone  Pyrocincholic a...  Pyroxamide  Pyrrolo[2,1,5-C...  Pyrroside B  5,10,15,20,25,3...  七(2,3-二甲基)-beta...  七(2,3-二-O-甲基-6-...  N1-[3-[3,5,7,9,...  七(3-O-乙酰基-2,6-二...  七(6-碘-6-脱氧)-bet...  七-(6-叠氮基-6-脱氧)-...  七(6-硫代-6-脱氧)-be...  七(6-O-磺基)-beta-...  七(6-O-叔丁基二甲基硅烷基...  七(6-溴-6-脱氧)-bet...  七(乙酸)氧化三钌  七-6-硫酸根-beta-环糊...