基本信息
| 产品名称 |
1-Palmitoyl-2-(4-Doxylpentanoyl)Glycerophosphocholine |
| 英文名 |
1-Palmitoyl-2-(4-Doxylpentanoyl)Glycerophosphocholine |
| 别名 |
Pam(Dox)Gropcho; 1-Palmitoyl-2-(4-Doxylpentanoyl)Glycerophosphocholine |
|
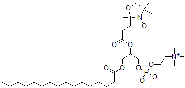
| 分子结构 |
 |
| 分子式 |
C33H64N2O10P |
| 分子量 |
679.85 |
| CAS 登录号 |
85284-79-3 |
| 分子行输入简码 SMILES |
[O]N1C(OCC1(C)C)(CCC(OC(CO[P](OCC[N+](C)(C)C)([O-])=O)COC(=O)CCCCCCCCCCCCCCC)=O)C |
| 国际化学标识码 InChI |
1S/C33H64N2O10P/c1-8-9-10-11-12-13-14-15-16-17-18-19-20-21-30(36)41-26-29(27-44-46(39,40)43-25-24-35(5,6)7)45-31(37)22-23-33(4)34(38)32(2,3)28-42-33/h29H,8-28H2,1-7H3 |
| 国际化学标识检索码 InChIKey |
UZZUJYKFTSELRF-UHFFFAOYSA-N |
|