全球化学品在线数据库

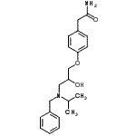
2-(4-{3-[苄基(异丙基)氨基]-2-羟基丙氧基}苯基)乙酰胺
[CAS 85650-48-2]

供应商
Achemica 瑞士
+41 (24) 466-2929
contact@achemica.com
化学品生产商(2010 年起)
基本信息
产品名称 2-(4-{3-[苄基(异丙基)氨基]-2-羟基丙氧基}苯基)乙酰胺
英文名 2-(4-{3-[Benzyl(isopropyl)amino]-2-hydroxypropoxy}phenyl)acetamide
别名 4-(2-Hydroxy-3-(benzyl(isopropyl)amino)propoxy)phenylacetamide; 4-[2-hydroxy-3-[benzyl(isopropyl)amino]propoxy]phenylacetamide
分子结构 CAS 登录号:85650-48-2, 2-(4-{3-[苄基(异丙基)氨基]-2-羟基丙氧基}苯基)乙酰胺
分子式 C21H28N2O3
分子量 356.46
CAS 登录号 85650-48-2
EINECS 登录号 288-056-4
分子行输入简码 SMILES O=C(N)Cc2ccc(OCC(O)CN(C(C)C)Cc1ccccc1)cc2
国际化学标识码 InChI 1S/C21H28N2O3/c1-16(2)23(13-18-6-4-3-5-7-18)14-19(24)15-26-20-10-8-17(9-11-20)12-21(22)25/h3-11,16,19,24H,12-15H2,1-2H3,(H2,22,25)
国际化学标识检索码 InChIKey CLOYEMVSCVWBME-UHFFFAOYSA-N
物理化学性质
密度 1.141g/cm3 (计算值)
沸点 575.63°C at 760 mmHg (计算值)
闪点 301.93°C (计算值)
市场分析报告
相关产品
苄基(十六烷基)二(2-羟基丙...  苄基(十六烷基)二甲基铵苯酚盐  苄基(十七烷基)二甲基氯化铵  苄基(双环[4.2.0]辛-1...  2-(苄基(叔-丁基)氨基)-...  2-(苄基(叔-丁基)氨基)-...  2-(苄基(叔-丁基)氨基)-...  (2S,3S)-2-[苄基-(...  苄基(顺式-4-氨基甲酰环己基...  2-[苄基(异丙基)氨基]-1...  4-(苄基(乙基)氨基)丁-2...  4-(苄基(乙基)氨基)偶氮苯...  3-[苄基(乙基)氨基]-1,...  4-[[4-[苄基(乙基)氨基...  4-[苄基(乙基)氨基]氯化偶...  4-[苄基(乙基)氨基]偶氮苯...  4-[苄基(乙基)氨基]偶氮苯...  N-苄基-N-(仲-丁基)胺盐...  (苄基)[4-[[4-[(苄基...  1-(苄基)-1,2,3,6-...