基本信息
| 产品名称 |
2-{4-[4-(三氟甲基)苯基]-1-哌嗪基}乙基2-{[7-(三氟甲基)-4-喹啉基]氨基}苯甲酸酯 |
| 英文名 |
2-{4-[4-(Trifluoromethyl)phenyl]-1-piperazinyl}ethyl 2-{[7-(trifluoromethyl)-4-quinolinyl]amino}benzoate |
| 别名 |
2-[4-(α,α,α-trifluoro-p-tolyl)-1-piperazinyl]ethyl o-[[7-(trifluoromethyl)-4-quinolyl]amino]benzoate |
|
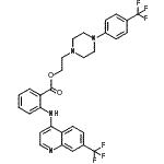
| 分子结构 |
![CAS 登录号:85702-69-8, 2-{4-[4-(三氟甲基)苯基]-1-哌嗪基}乙基2-{[7-(三氟甲基)-4-喹啉基]氨基}苯甲酸酯](/moreStructures/85702-69-8.gif) |
| 分子式 |
C30H26F6N4O2 |
| 分子量 |
588.54 |
| CAS 登录号 |
85702-69-8 |
| EINECS 登录号 |
288-259-8 |
| 分子行输入简码 SMILES |
FC(F)(F)c1ccc5c(c1)nccc5Nc2ccccc2C(=O)OCCN3CCN(CC3)c4ccc(cc4)C(F)(F)F |
| 国际化学标识码 InChI |
1S/C30H26F6N4O2/c31-29(32,33)20-5-8-22(9-6-20)40-15-13-39(14-16-40)17-18-42-28(41)24-3-1-2-4-25(24)38-26-11-12-37-27-19-21(30(34,35)36)7-10-23(26)27/h1-12,19H,13-18H2,(H,37,38) |
| 国际化学标识检索码 InChIKey |
WRYWRWYLEHDHGS-UHFFFAOYSA-N |
|