全球化学品在线数据库

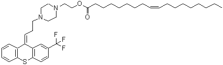
2-(4-{(3Z)-3-[2-(三氟甲基)-9H-噻吨-9-亚基]丙基}-1-哌嗪基)乙基 (9Z)-9-十八碳烯酸酯
[CAS 85721-06-8]

供应商
Alfa Chemistry 美国
+1 (201) 478-8534
inquiry@alfa-chemistry.com
化学品供销商(2012 年起)
chemBlink 标准供应商(2012 年起)
基本信息
产品名称 2-(4-{(3Z)-3-[2-(三氟甲基)-9H-噻吨-9-亚基]丙基}-1-哌嗪基)乙基 (9Z)-9-十八碳烯酸酯
英文名 2-(4-{(3Z)-3-[2-(Trifluoromethyl)-9H-thioxanthen-9-ylidene]propyl}-1-piperazinyl)ethyl (9Z)-9-octadecenoate
别名 (Z)-2-[4-[3-[2-(trifluoromethyl)-9H-thioxanthen-9-ylidene]propyl]-1-piperazinyl]ethyl oleate
分子结构 CAS 登录号:85721-06-8, 2-(4-{(3Z)-3-[2-(三氟甲基)-9H-噻吨-9-亚基]丙基}-1-哌嗪基)乙基 (9Z)-9-十八碳烯酸酯
分子式 C41H57F3N2O2S
分子量 698.96
CAS 登录号 85721-06-8
EINECS 登录号 288-416-0
分子行输入简码 SMILES CCCCCCCC\C=C/CCCCCCCC(=O)OCCN1CCN(CC1)CC\C=C2\c4ccccc4Sc3ccc(cc23)C(F)(F)F
国际化学标识码 InChI 1S/C41H57F3N2O2S/c1-2-3-4-5-6-7-8-9-10-11-12-13-14-15-16-23-40(47)48-32-31-46-29-27-45(28-30-46)26-19-21-35-36-20-17-18-22-38(36)49-39-25-24-34(33-37(35)39)41(42,43)44/h9-10,17-18,20-22,24-25,33H,2-8,11-16,19,23,26-32H2,1H3/b10-9-,35-21-
国际化学标识检索码 InChIKey BUTJICYIIWGDPL-DNRMARSOSA-N
物理化学性质
密度 1.111g/cm3 (计算值)
沸点 728.498°C at 760 mmHg (计算值)
闪点 394.382°C (计算值)
市场分析报告
相关产品
3-(三氟甲基)-7-溴吲唑  [5-(三氟甲基)-8-喹啉基...  2-(三氟甲基)-8-喹啉羧酸  2-(三氟甲基)-9H-咔唑  3-(三氟甲基)-9H-咔唑  N-[7-(三氟甲基)-9H-...  N-[7-(三氟甲基)-9H-...  8-(三氟甲基)-9H-嘌呤-...  2-(三氟甲基)-9H-噻吨-...  (Z)-4-[3-[2-(三氟...  9-(三氟甲基)-9H-芴-9...  4-(三氟甲基)-alpha,...  3-(三氟甲基)-alpha-...  4-(三氟甲基)安非他命  2-[(三氟甲基)氨基]苯甲酰...  3-(三氟甲基)巴豆酸  3-(三氟甲基)巴豆酸乙酯; ...  4-(三氟甲基)苯胺  4-(三氟甲基)苯胺  5-[2-[3-(三氟甲基)苯...