全球化学品在线数据库

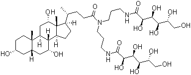
(3a,5b,7a,12a)-N,N-双[3-(D-葡萄糖酰氨基)丙基]-3,7,12-三羟基胆甾烷-24-胺
[CAS 86303-22-2]

供应商目录
Discovery Fine Chemicals Ltd. 英国
www.discofinechem.com
+44 (1202) 874-517
+44 (845) 094-4385
pjc@discofinechem.com
化学品生产商
chemBlink 标准供应商 (2009年起)
卡博森斯化学科技 (苏州) 有限公司 中国
www.carbosynth.cn
+86 (512) 6260-5585
+86 (512) 6260-5576
sales@carbosynth.com
QQ Chat
化学品生产商 (2006年起)
chemBlink 标准供应商 (2016年起)
Chemos GmbH & Co. KG 德国
www.chemos.de
+49 871-966346-0
+49 871-966346-13
chemos@chemos.de
化学品供销商
Apollo Scientific Ltd. 英国
www.apolloscientific.co.uk
+44 (161) 406-0505
+44 (161) 406-0506
sales@apolloscientific.co.uk
化学品生产商
Dojindo Molecular Technologies, Inc. 美国
www.dojindo.com
+1 (301) 987-2667
+1 (301) 987-2687
info@dojindo.com
化学品生产商
Indofine Chemical Company, Inc. 美国
www.indofinechemical.com
+1 (888) 463-6346
+1 (908) 359-1179
info@indofinechemical.com
化学品生产商 (1981年起)
Toronto Research Chemicals Inc. 加拿大
www.trc-canada.com
+1 (416) 665-9696
+1 (416) 665-4439
info@trc-canada.com
化学品生产商 (1982年起)

基本信息
产品名称(3a,5b,7a,12a)-N,N-双[3-(D-葡萄糖酰氨基)丙基]-3,7,12-三羟基胆甾烷-24-胺
英文名BigCHAP
别名(3a,5b,7a,12a)-N,N-Bis[3-(D-gluconoylamino)propyl]-3,7,12-trihydroxycholan-24-amide
分子结构(3a,5b,7a,12a)-N,N-双[3-(D-葡萄糖酰氨基)丙基]-3,7,12-三羟基胆甾烷-24-胺分子结构 (CAS 86303-22-2)
分子式C42H75N3O16
分子量878.06
CAS 登录号86303-22-2
EC 号码689-123-4
物理化学性质
密度1.368
安全数据
危害分类
up    说明
危害分类类别码危害标签
特定目标器官毒性—单次接触STOT SE3H335
眼刺激Eye Irrit.2H319
皮肤刺激Skin Irrit.2H315
生殖毒性Repr.2H361
急性毒性Acute Tox.4H312
急性毒性Acute Tox.4H332
SDS化学品安全技术说明书参考文本
市场分析报告
相关产品
1-[4-[[4-[双[2-[...  1-[5-[[4-[双[2-[...  3,12-双[2-[(乙酰氧基...  双[2-[2-(2-丁氧基乙氧...  (Z,Z)-1,4-双[2-[...  双[2-羟基-3-[(1-氧代...  双[2-羟基-3-[(1-氧代...  N,N'-双[3-(3,5-二...  3,3'-[5',5''-双[...  (3a,5b,12a)-N,N...  2,9-双[3-(二甲基氧代氨...  双[3-(甲基二甲氧基硅烷基)...  1,1'-双[3-(三甲基铵基...  N,N'-双[3-(三甲氧基硅...  双[3-(三乙氧基硅)丙基]胺  双-[3-(三乙氧基硅)丙基]...  双-[3-(三乙氧基硅)丙基]...  [4-[双[3-(羧基甲基)-...  (11aS)-3,7-双[3,...  (11aR)-3,7-双[3,...