全球化学品在线数据库

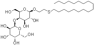
2-(十八烷基硫基)乙基 4-O-alpha-D-吡喃半乳糖基-beta-D-吡喃半乳糖苷
[CAS 87019-34-9]

供应商目录
卡博森斯化学科技 (苏州) 有限公司 中国
www.carbosynth.cn
+86 (512) 6260-5585
+86 (512) 6260-5576
sales@carbosynth.com
QQ Chat
化学品生产商 (2006年起)
chemBlink 标准供应商 (2016年起)

基本信息
产品名称2-(十八烷基硫基)乙基 4-O-alpha-D-吡喃半乳糖基-beta-D-吡喃半乳糖苷
英文名2-(Octadecylthio)ethyl 4-O-alpha-D-galactopyranosyl-beta-D-galactopyranoside
分子结构2-(十八烷基硫基)乙基 4-O-alpha-D-吡喃半乳糖基-beta-D-吡喃半乳糖苷分子结构 (CAS 87019-34-9)
分子式C32H62O11S
分子量654.89
CAS 登录号87019-34-9
物理化学性质
溶解度不溶 (5.0E-4 g/L) (25 °C), 计算值*
密度1.21±0.1 g/cm3 (20 °C 760 Torr), 计算值*
*使用计算机软件 Advanced Chemistry Development (ACD/Labs) Software V11.02 (©1994-2014 ACD/Labs)
安全数据
SDS化学品安全技术说明书参考文本
市场分析报告
相关产品
N-十八烷基-芥酸酰胺  2-O-十八烷基抗坏血酸  十八烷基邻苯二甲酸氢酯  4-十八烷基邻甲酚  十八烷基膦酸二甲酯  十八烷基磷酸锌  十八烷基磷酸酯  十八烷基磷酸酯二铵  十八烷基膦酸酯钠盐  2-[[1-(2-十八烷基硫苯...  2-(十八烷基硫基)乙基 O-...  3-十八烷基硫基丙酸钡  3-十八烷基硫基丙酸镁  十八烷基硫酸酯铵盐  N-十八烷基硫酸酯钠盐  十八烷基L-酪氨酸酯  N-十八烷基-L-天冬氨酸  N-十八烷基-L-天冬氨酸二甲...  十八烷基氯化镁  十八烷基氯乙酸酯