| 厦门志信化学有限公司 | 中国 | |||
|---|---|---|---|---|
![]() | www.simagchem.com | |||
![]() | +86 13806087780 | |||
![]() | +86 (592) 268-0237 | |||
![]() | sale@simagchem.com | |||
| 化学品生产商 (2002年起) | ||||
| chemBlink 标准供应商 (2008年起) | ||||
| BOC Sciences | 美国 | |||
|---|---|---|---|---|
![]() | www.bocsci.com | |||
![]() | +1 (631) 485-4226 | |||
![]() | +1 (631) 614-7828 | |||
![]() | info@bocsci.com | |||
| 化学品生产商 | ||||
| chemBlink 标准供应商 (2010年起) | ||||
| 南京汇哲贸易有限公司 | 中国 | |||
|---|---|---|---|---|
![]() | www.njhzc.com | |||
![]() | +86 (25) 8773-7352 | |||
![]() | +86 (25) 8773-7352 | |||
![]() | njhzchem@gmail.com | |||
| 化学品供销商 | ||||
| chemBlink 标准供应商 (2011年起) | ||||
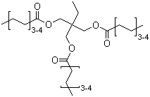
| 产品名称 | Priolube 370 |
|---|---|
| 英文名 | Priolube 370 |
| 别名 | Priolube 3970; Fatty acids C8-10 triesters with trimethylolpropane |
| 分子结构 | ![]() |
| CAS 登录号 | 91050-89-4 |
| EC 号码 | 293-036-3 |
| 市场分析报告 |