全球化学品在线数据库

gamma-(焦谷氨酰-谷氨酰-天冬氨酰胺酰-甘氨酸)酰胺
[CAS 91856-43-8]

供应商
CAS#: 91856-43-8
产品: gamma-(焦谷氨酰-谷氨酰-天冬氨酰胺酰-甘氨酸)酰胺
暂时没有厂家供应该产品。
基本信息
产品名称 gamma-(焦谷氨酰-谷氨酰-天冬氨酰胺酰-甘氨酸)酰胺
英文名 gamma-(Pyroglutamyl-Glutamyl-Asparaginyl-Glycine)Amide
别名 (3S)-3-[[(2S)-5-Amino-5-Oxo-2-[[(2S)-5-Oxopyrrolidine-2-Carbonyl]Amino]Pentanoyl]Amino]-4-(Carboxymethylamino)-4-Oxo-Butanoic Acid; (3S)-3-[[(2S)-5-Amino-1,5-Dioxo-2-[[Oxo-[(2S)-5-Oxo-2-Pyrrolidinyl]Methyl]Amino]Pentyl]Amino]-4-(Carboxymethylamino)-4-Oxobu
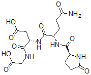
分子结构 CAS 登录号:91856-43-8, gamma-(焦谷氨酰-谷氨酰-天冬氨酰胺酰-甘氨酸)酰胺
分子式 C16H23N5O9
分子量 429.39
CAS 登录号 91856-43-8
分子行输入简码 SMILES [C@H](C(NCC(=O)O)=O)(NC([C@@H](NC([C@H]1NC(CC1)=O)=O)CCC(=O)N)=O)CC(=O)O
国际化学标识码 InChI 1S/C16H23N5O9/c17-10(22)3-1-8(20-15(29)7-2-4-11(23)19-7)16(30)21-9(5-12(24)25)14(28)18-6-13(26)27/h7-9H,1-6H2,(H2,17,22)(H,18,28)(H,19,23)(H,20,29)(H,21,30)(H,24,25)(H,26,27)/t7-,8-,9-/m0/s1
国际化学标识检索码 InChIKey PYLKSIZIVWBTDB-CIUDSAMLSA-N
物理化学性质
密度 1.485g/cm3 (计算值)
沸点 1156.05°C at 760 mmHg (计算值)
闪点 652.955°C (计算值)
市场分析报告
相关产品
焦谷氨酰-脯氨酰-脯氨酰-甘氨...  焦谷氨酰-脯氨酰-精氨酰-对硝...  焦谷氨酰-脯氨酰-缬氨酰-对硝...  焦谷氨酰-甘氨酰-脯氨酰-色氨...  焦谷氨酰-甘氨酰-甘氨酰-亮氨...  焦谷氨酰-谷氨酰胺酰-苯丙氨酰...  焦谷氨酰-谷氨酰胺酰-苯丙氨酰...  焦谷氨酰-谷氨酰-脯氨酰胺  焦谷氨酰-谷氨酰-甘氨酰-丝氨...  焦谷氨酰-谷氨酰-天冬氨酰胺酰...  焦谷氨酰-酪氨酰-脯氨酰胺  焦谷氨酰亮氨酸  焦谷氨酰-亮氨酰基-色氨酸甲酯  焦谷氨酰-亮氨酰-苏氨酰-苯丙...  焦谷氨酰-L-精氨酸  3-焦谷氨酰噻唑烷-4-羧酸  焦谷氨酰-丝氨酰-苯丙氨酰胺  焦谷氨酰-丝氨酰-甘氨酰胺  焦谷氨酰-丝氨酰-缬氨酰-脯氨...  焦谷氨酰-组氨酸