| Alfa Chemistry | 美国 | |||
|---|---|---|---|---|
![]() | www.alfa-chemistry.com | |||
![]() | +1 (201) 478-8534 | |||
![]() | +1 (516) 927-0118 | |||
![]() | inquiry@alfa-chemistry.com | |||
| 化学品供销商 (2012年起) | ||||
| chemBlink 标准供应商 (2012年起) | ||||
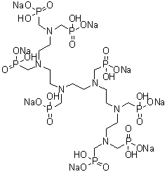
| 产品名称 | [1,2-乙烷二基二[[(膦酰甲基)亚氨基]-2,1-乙二基[(膦酰甲基)亚氨基]-2,1-乙二基次氮基二(亚甲基)]]四膦酸八钠盐 |
|---|---|
| 英文名 | [1,2-Ethanediylbis[[(phosphonomethyl)imino]-2,1-ethanediyl[(phosphonomethyl)imino]-2,1-ethanediylnitrilobis(methylene)]]tetrakis-phosphonic acid octasodium salt |
| 分子结构 | ![]() |
| 分子式 | C18H44N6O24P8.Na8 |
| 分子量 | 1160.28 |
| CAS 登录号 | 93892-80-9 |
| EC 号码 | 299-567-7 |
| 市场分析报告 |