|
CAS#: 94465-65-3 产品: 2-氯-N,N,N',N'-四乙基-1,3-丙烷二胺盐酸盐(1:1) 暂时没有厂家供应该产品。 |
| 产品名称 | 2-氯-N,N,N',N'-四乙基-1,3-丙烷二胺盐酸盐(1:1) |
|---|---|
| 英文名 | 2-Chloro-N,N,N',N'-tetraethyl-1,3-propanediamine hydrochloride (1:1) |
| 别名 | 2-chloro- |
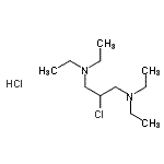
| 分子结构 | ![]() |
| 分子式 | C11H26Cl2N2 |
| 分子量 | 257.24 |
| CAS 登录号 | 94465-65-3 |
| EINECS 登录号 | 305-349-5 |
| 分子行输入简码 SMILES | Cl.CCN(CC)CC(Cl)CN(CC)CC |
| 国际化学标识码 InChI | 1S/C11H25ClN2.ClH/c1-5-13(6-2)9-11(12)10-14(7-3)8-4;/h11H,5-10H2,1-4H3;1H |
| 国际化学标识检索码 InChIKey | NCSOKUUVWFBNOC-UHFFFAOYSA-N |
| 沸点 | 250.5°C at 760 mmHg (计算值) |
|---|---|
| 闪点 | 105.3°C (计算值) |
| 市场分析报告 |