全球化学品在线数据库

谷氨酰胺酰(9)-beta-促脂素
[CAS 95536-04-2]

供应商
CAS#: 95536-04-2
产品: 谷氨酰胺酰(9)-beta-促脂素
暂时没有厂家供应该产品。
基本信息
产品名称 谷氨酰胺酰(9)-beta-促脂素
英文名 Gln(9)-beta-Lipotropin
别名 N-[2-[[(2R,3S,6R,7S,10R,11S)-7,11-Bis[[2-[(2,3-Dihydroxybenzoyl)Amino]Acetyl]Amino]-2,6,10-Trimethyl-4,8,12-Trioxo-1,5,9-Trioxacyclododec-3-Yl]Amino]-2-Oxo-Ethyl]-2,3-Dihydroxy-Benzamide; N-[2-[[(2R,3S,6R,7S,10R,11S)-7,11-Bis[[2-[[(2,3-Dihydroxyphenyl)-Oxo
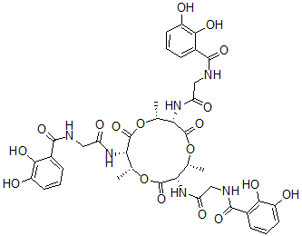
分子结构 CAS 登录号:95536-04-2, 谷氨酰胺酰(9)-beta-促脂素
分子式 C39H42N6O18
分子量 882.79
CAS 登录号 95536-04-2
分子行输入简码 SMILES [C@@H]4(NC(=O)CNC(=O)C1=CC=CC(=C1O)O)C(O[C@@H]([C@H](NC(=O)CNC(=O)C2=CC=CC(=C2O)O)C(O[C@@H]([C@H](NC(=O)CNC(=O)C3=C(O)C(=CC=C3)O)C(O[C@@H]4C)=O)C)=O)C)=O
国际化学标识码 InChI 1S/C39H42N6O18/c1-16-28(43-25(49)13-40-34(55)19-7-4-10-22(46)31(19)52)37(58)62-18(3)30(45-27(51)15-42-36(57)21-9-6-12-24(48)33(21)54)39(60)63-17(2)29(38(59)61-16)44-26(50)14-41-35(56)20-8-5-11-23(47)32(20)53/h4-12,16-18,28-30,46-48,52-54H,13-15H2,1-3H3,(H
国际化学标识检索码 InChIKey RCQTVEFBFUNTGM-BDVHUIKKSA-N
物理化学性质
密度 1.615g/cm3 (计算值)
沸点 1351.287°C at 760 mmHg (计算值)
闪点 771.03°C (计算值)
市场分析报告
相关产品
L-谷氨酰胺7-酰胺基-4-甲...  谷氨酰胺单氟磷酸酯  L-谷氨酰胺二乙基酰胺盐酸盐  4-(L-gamma-谷氨酰氨...  L-谷氨酰胺甲酯单盐酸盐  D-谷氨酰胺甲酯盐酸盐  gamma-D-谷氨酰氨基甲基...  L-谷氨酰胺苹果酸盐  L-谷氨酰胺叔丁酯盐酸盐  谷氨酰胺酰(1)-去组氨酰(2...  [谷氨酰胺酰4]-神经降压素  L-谷氨酰胺酰-L-alpha...  L-谷氨酰胺-酰胺-15N  L-谷氨酰胺酰-L-半胱氨酰-...  L-谷氨酰胺酰-L-半胱氨酰-...  L-谷氨酰胺酰-L-丙氨酰-L...  L-谷氨酰胺酰-L-丙氨酰-L...  L-谷氨酰胺酰-L-蛋氨酰-L...  L-谷氨酰胺酰甘氨酰-L-丙氨...  L-谷氨酰胺酰甘氨酰-L-谷氨...