全球化学品在线数据库

吡罗昔康-beta-环糊精
[CAS 96684-39-8]

供应商目录
杭州维康科技有限公司 中国
www.verychem.com
+86 (571) 8816-2785
+86 13606544505
+86 (571) 8816-2787
lucy@verychem.com
化学品生产商 (2004年起)
chemBlink 集群供应商 (2021年起)
厦门志信化学有限公司 中国
www.simagchem.com
+86 13806087780
+86 (592) 268-0237
sale@simagchem.com
化学品生产商 (2002年起)
chemBlink 标准供应商 (2008年起)
上海拓克化学科技有限公司 中国
www.tocopharm.com
+86 (21) 3160-8287
+86 13776836200
+86 (21) 6129-2409
info@tocopharm.com
QQ Chat
化学品生产商 (2012年起)
chemBlink 标准供应商 (2009年起)
BOC Sciences 美国
www.bocsci.com
+1 (631) 485-4226
+1 (631) 614-7828
info@bocsci.com
化学品生产商
chemBlink 标准供应商 (2010年起)
山东滨州智源生物科技有限公司 中国
www.bzzysw.com
+86 (543) 818-6048
klaus.chen@cydextrin.com
化学品生产商 (2010年起)
chemBlink 标准供应商 (2013年起)
淄博晟洛进出口有限公司 中国
www.senloschem.com
+86 (533) 491-2094
senloschem@gmail.com
化学品供销商 (2018年起)
chemBlink 标准供应商 (2018年起)
常州新星联生物科技有限公司 中国
www.neostarunited.com
+86 (519) 8555-7386
+86 18015025600
+86 (519) 8555-7389
marketing1@neostarunited.com
化学品供销商 (2014年起)
chemBlink 标准供应商 (2020年起)

基本信息
产品分类化学试剂 >> 有机试剂 >> 环糊精
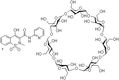
产品名称吡罗昔康-beta-环糊精
英文名Piroxicam-beta-cyclodextrin complex
别名Cycladol
分子结构吡罗昔康-beta-环糊精分子结构 (CAS 96684-39-8)
分子式C42H70O35.xC15H13N3O4S
CAS 登录号96684-39-8
市场分析报告
相关产品
吡硫鎓锌  吡氯灵  吡仑帕奈  吡仑帕奈水合物 (4:3)  吡罗达韦  吡罗蒽醌  吡洛芬  吡罗克酮  比螺酮甲磺酸盐  吡罗昔康  吡罗昔康O-beta-D-葡糖...  吡罗昔康杂质 B  吡罗昔康杂质 D  吡罗昔康杂质 F  吡罗昔康杂质 H  吡罗昔康杂质 I  碧萝芷  吡氯氰菊酯  吡氯斯汀  Bim 23206