Identification
| Name |
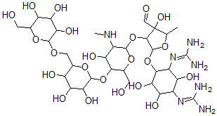
6'''-O-Mannopyranosyl Mannosidostreptomycin |
| Synonyms |
2-[2-[4-Formyl-4-Hydroxy-3-[4-Hydroxy-6-(Hydroxymethyl)-3-Methylamino-5-[3,4,5-Trihydroxy-6-[[3,4,5-Trihydroxy-6-(Hydroxymethyl)Tetrahydropyran-2-Yl]Oxymethyl]Tetrahydropyran-2-Yl]Oxy-Tetrahydropyran-2-Yl]Oxy-5-Methyl-Tetrahydrofuran-2-Yl]Oxy-5-Guanidino-3,4,6-Trihydroxy-Cyclohexyl]Guanidine; 2-[2-[[4-Formyl-4-Hydroxy-3-[[4-Hydroxy-6-(Hydroxymethyl)-3-Methylamino-5-[[3,4,5-Trihydroxy-6-[[3,4,5-Trihydroxy-6-(Hydroxymethyl)-2-Tetrahydropyranyl]Oxymethyl]-2-Tetrahydropyranyl]Oxy]-2-Tetrahydropyranyl]Oxy]-5-Methyl-2-Tetrahydrofuranyl]Oxy]-5-Guanidino-3,4,6-Trihydroxycyclohexyl]Guanidine; 2-[2-[4-Formyl-4-Hydroxy-3-[4-Hydroxy-3-Methylamino-6-Methylol-5-[3,4,5-Trihydroxy-6-[(3,4,5-Trihydroxy-6-Methylol-Tetrahydropyran-2-Yl)Oxymethyl]Tetrahydropyran-2-Yl]Oxy-Tetrahydropyran-2-Yl]Oxy-5-Methyl-Tetrahydrofuran-2-Yl]Oxy-5-Guanidino-3,4,6-Trihydroxy-Cyclohexyl]Guanidine |
|
| Molecular Structure |
 |
| Molecular Formula |
C33H59N7O22 |
| Molecular Weight |
905.86 |
| CAS Registry Number |
100759-54-4 |
| SMILES |
C(O)C3OC(OC1C(O)(C(OC1OC2C(N=C(N)N)C(O)C(N=C(N)N)C(O)C2O)C)C=O)C(NC)C(O)C3OC4OC(C(O)C(O)C4O)COC5OC(C(O)C(O)C5O)CO |
| InChI |
1S/C33H59N7O22/c1-7-33(54,6-43)26(30(56-7)61-25-12(40-32(36)37)16(46)11(39-31(34)35)17(47)21(25)51)62-27-13(38-2)18(48)24(9(4-42)58-27)60-29-23(53)20(50)15(45)10(59-29)5-55-28-22(52)19(49)14(44)8(3-41)57-28/h6-30,38,41-42,44-54H,3-5H2,1-2H3,(H4,34,35,39)(H4,36,37,40) |
| InChIKey |
XIKSUQAETDPAAY-UHFFFAOYSA-N |
|