Online Database of Chemicals from Around the World

O-beta-D-Mannopyranosyl-(1-4)-O-beta-D-Mannopyranosyl-(1-4)-D-Mannose
[CAS 28173-52-6]

Suppliers
Carbosynth China Ltd. China
+86 (512) 6260-5585
sales@carbosynth.com
QQ Chat
Chemical manufacturer since 2006
Chemical distributor since 2006
chemBlink massive supplier since 2016
Identification
Name O-beta-D-Mannopyranosyl-(1-4)-O-beta-D-Mannopyranosyl-(1-4)-D-Mannose
Synonyms (2S,3S,4R,5R)-4,5,6-Trihydroxy-2,3-Bis[[(2S,3S,4S,5S,6R)-3,4,5-Trihydroxy-6-(Hydroxymethyl)Tetrahydropyran-2-Yl]Oxy]Hexanal; (2S,3S,4R,5R)-4,5,6-Trihydroxy-2,3-Bis[[(2S,3S,4S,5S,6R)-3,4,5-Trihydroxy-6-(Hydroxymethyl)-2-Tetrahydropyranyl]Oxy]Hexanal; (2S,3S,4R,5R)-4,5,6-Trihydroxy-2,3-Bis[[(2S,3S,4S,5S,6R)-3,4,5-Trihydroxy-6-Methylol-Tetrahydropyran-2-Yl]Oxy]Hexanal
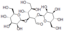
Molecular Structure CAS#: 28173-52-6, O-beta-D-Mannopyranosyl-(1-4)-O-beta-D-Mannopyranosyl-(1-4)-D-Mannose
Molecular Formula C18H32O16
Molecular Weight 504.44
CAS Registry Number 28173-52-6
SMILES [C@H](C=O)(O[C@H]1[C@@H](O)[C@@H](O)[C@H](O)[C@H](O1)CO)[C@@H](O[C@H]2[C@@H](O)[C@@H](O)[C@H](O)[C@H](O2)CO)[C@H](O)[C@H](O)CO
InChI 1S/C18H32O16/c19-1-5(23)9(24)16(34-18-15(30)13(28)11(26)7(3-21)32-18)8(4-22)33-17-14(29)12(27)10(25)6(2-20)31-17/h4-21,23-30H,1-3H2/t5-,6-,7-,8-,9-,10-,11-,12+,13+,14+,15+,16-,17+,18+/m1/s1
InChIKey OXEVOBRQLSFMMV-WPNFGHGHSA-N
Properties
Density 1.752g/cm3 (Cal.)
Boiling point 968.538°C at 760 mmHg (Cal.)
Flash point 332.917°C (Cal.)
Market Analysis Reports
Related Products
O-beta-D-Mannop...  alpha-D-Mannopy...  N-(O-alpha-D-ma...  O-alpha-D-Manno...  O-alpha-D-Manno...  O-alpha-D-Manno...  O-alpha-D-Manno...  O-alpha-D-Manno...  4-[[2-[[3-([O-b...  O-beta-D-Mannop...  O-alpha-D-Manno...  3-O-beta-D-Mann...  2-O-beta-D-Mann...  6-O-beta-D-Mann...  6'''-O-Mannopyr...  Mannopyranosylm...  7-(alpha-D-Mann...  2-(alpha-D-Mann...  2-(alpha-D-Mann...  Mannopyranuroni...