Identification
| Name |
2,2'-(4-{[5-Deoxy-2-O-(2-Deoxy-2-{[(E)-Iminomethyl](Methyl)Amino}Hexopyranosyl)-3-C-(Hydroxymethyl)Pentofuranosyl]Oxy}-2,5,6-Trihydroxy-1,3-Cyclohexanediyl)Diguanidine |
| Synonyms |
Guanidine, N,N'''-(4-((5-deoxy-2-O-(2-deoxy-2-((iminomethyl)methylamino)hexopyranosyl)-3-C-(hydroxymethyl)pentofuranosyl)oxy)-2,5,6-trihydroxy-1,3-cyclohexanediyl)bis-, sulfate (1:2) (salt); Guanidine, N,N'''-[4-[[5-deoxy-2-O-[2-deoxy-2-[(iminomethyl)methylamino]hexopyranosyl]-3-C-(hydroxymethyl)pentofuranosyl]oxy]-2,5,6-trihydroxy-1,3-cyclohexanediyl]bis-, sulfate (1:2) (salt); STREPOMYCIN, FORMIMIDOYLDIHYDRO, SESQUISULFATE SALT |
|
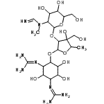
| Molecular Structure |
Amino}Hexopyranosyl)-3-C-(Hydroxymethyl)Pentofuranosyl]Oxy}-2,5,6-Trihydroxy-1,3-Cyclohexanediyl)Diguanidine](/moreStructures/10225-46-4.gif) |
| Molecular Formula |
C22H42N8O12 |
| Molecular Weight |
610.62 |
| CAS Registry Number |
10225-46-4 |
| SMILES |
O(C2C(OC1C(/N=C(\N)N)C(O)C(/N=C(\N)N)C(O)C1O)OC(C)C2(O)CO)C3OC(C(O)C(O)C3N(C=[N@H])C)CO |
| InChI |
1S/C22H42N8O12/c1-6-22(38,4-32)17(42-18-10(30(2)5-23)14(36)11(33)7(3-31)40-18)19(39-6)41-16-9(29-21(26)27)12(34)8(28-20(24)25)13(35)15(16)37/h5-19,23,31-38H,3-4H2,1-2H3,(H4,24,25,28)(H4,26,27,29)/b23-5+ |
| InChIKey |
NILIZBVATKKSNN-MUDSWDHVSA-N |
|