Online Database of Chemicals from Around the World

2'-Deoxycytidylyl-(3'-5')-Thymidine
[CAS 4829-64-5]

Suppliers
CAS#: 4829-64-5
Product: 2'-Deoxycytidylyl-(3'-5')-Thymidine
No suppilers available for the product.
Identification
Name 2'-Deoxycytidylyl-(3'-5')-Thymidine
Synonyms [(2R,3S,5S)-5-(4-Amino-2-Oxo-Pyrimidin-1-Yl)-2-(Hydroxymethyl)Tetrahydrofuran-3-Yl] [(2R,3S,5R)-3-Hydroxy-5-(5-Methyl-2,4-Dioxo-Pyrimidin-1-Yl)Tetrahydrofuran-2-Yl]Methyl Hydrogen Phosphate; [(2R,3S,5S)-5-(4-Amino-2-Oxo-1-Pyrimidinyl)-2-(Hydroxymethyl)-3-Tetrahydrofuranyl] [(2R,3S,5R)-3-Hydroxy-5-(5-Methyl-2,4-Dioxo-1-Pyrimidinyl)-2-Tetrahydrofuranyl]Methyl Hydrogen Phosphate; [(2R,3S,5S)-5-(4-Amino-2-Keto-Pyrimidin-1-Yl)-2-Methylol-Tetrahydrofuran-3-Yl] [(2R,3S,5R)-5-(2,4-Diketo-5-Methyl-Pyrimidin-1-Yl)-3-Hydroxy-Tetrahydrofuran-2-Yl]Methyl Hydrogen Phosphate
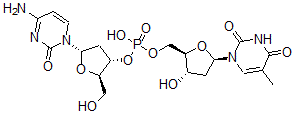
Molecular Structure CAS#: 4829-64-5, 2'-Deoxycytidylyl-(3'-5')-Thymidine
Molecular Formula C19H26N5O11P
Molecular Weight 531.42
CAS Registry Number 4829-64-5
SMILES [C@@H]4(O[P](OC[C@H]2O[C@@H](N1C(=O)NC(=O)C(=C1)C)C[C@@H]2O)(=O)O)[C@H](O[C@H](N3C(=O)N=C(N)C=C3)C4)CO
InChI 1S/C19H26N5O11P/c1-9-6-24(19(29)22-17(9)27)15-4-10(26)13(34-15)8-32-36(30,31)35-11-5-16(33-12(11)7-25)23-3-2-14(20)21-18(23)28/h2-3,6,10-13,15-16,25-26H,4-5,7-8H2,1H3,(H,30,31)(H2,20,21,28)(H,22,27,29)/t10-,11-,12+,13+,15+,16-/m0/s1
InChIKey OUJLZFGNZMPALU-LMNBOPHZSA-N
Properties
Density 1.91g/cm3 (Cal.)
Market Analysis Reports
Related Products
2'-Deoxycytidin...  2'-Deoxycytidyl...  1-(N(3)-Deoxycy...  2'-Deoxy-3'-cyt...  2'-Deoxy-5'-cyt...  2'-Deoxycytidyl...  Deoxycytidylyl-...  2'-Deoxycytidyl...  N-(Deoxycytidyl...  Deoxy(Cytidylyl...  2'-Deoxycytidyl...  4'-Deoxydaunomy...  11-Deoxydaunomy...  7-Deoxy Daunoru...  2'-Deoxy-7-deaz...  2'-Deoxy-7-deaz...  rac-11-Deoxy-8(...  2-deoxy-4-O-(4-...  2,2'-(4-{[5-Deo...  (2beta,15alpha)...