Online Database of Chemicals from Around the World

Coenzyme A S-(hydrogen 3-hydroxy-3-methyl pentanedioate) disodium salt
[CAS 103476-21-7]

List of Suppliers
BOC Sciences USA
www.bocsci.com
+1 (631) 485-4226
+1 (631) 614-7828
info@bocsci.com
Chemical manufacturer
chemBlink Standard supplier since 2010
CarboMer, Inc. USA
www.carbomer.com
+1 (858) 552-0992
+1 (858) 552-0999
sales@carbomer.com
Chemical manufacturer

Identification
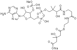
NameCoenzyme A S-(hydrogen 3-hydroxy-3-methyl pentanedioate) disodium salt
Molecular StructureCoenzyme A S-(hydrogen 3-hydroxy-3-methyl pentanedioate) disodium salt molecular structure (CAS 103476-21-7)
Molecular FormulaC27H42N7O20P3S.2Na
Molecular Weight955.62
CAS Registry Number103476-21-7
Market Analysis Reports
Related Products
Coenzyme A, S-b...  Coenzyme A S-B...  Coenzyme A S-(3...  Coenzyme A disu...  Coenzyme A Disu...  Coenzyme A- S-D...  Coenzyme A,S-do...  Coenzyme alpha-...  Coenzyme A-S-He...  Coenzyme A S-He...  (R)-Coenzyme A-...  Coenzyme A,S-[(...  Coenzyme A S-(h...  Coenzyme A isob...  Coenzyme A Lith...  Coenzyme M  Coenzyme A S-(2...  Coenzyme A-S-No...  Coenzyme A S-(9...  Coenzyme A-S-Oc...