Online Database of Chemicals from Around the World

Coenzyme A S-(9Z,12Z)-9,12-Octadecadienoate
[CAS 6709-57-5]

Suppliers
Carbosynth China Ltd. China
+86 (512) 6260-5585
sales@carbosynth.com
QQ Chat
Chemical manufacturer since 2006
Chemical distributor since 2006
chemBlink massive supplier since 2016
Alfa Chemistry USA
+1 (201) 478-8534
inquiry@alfa-chemistry.com
Chemical distributor since 2012
chemBlink standard supplier since 2012
BOC Sciences USA
+1 (631) 485-4226
info@bocsci.com
Skype Chat
Chemical distributor
chemBlink massive supplier since 2012
Identification
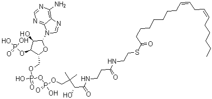
Name Coenzyme A S-(9Z,12Z)-9,12-Octadecadienoate
Synonyms S-[2-[3-[[(2R)-4-[[[(2R,3S,4R,5R)-5-(6-Aminopurin-9-Yl)-4-Hydroxy-3-Phosphonooxy-Tetrahydrofuran-2-Yl]Methoxy-Hydroxy-Phosphoryl]Oxy-Hydroxy-Phosphoryl]Oxy-2-Hydroxy-3,3-Dimethyl-Butanoyl]Amino]Propanoylamino]Ethyl] (9Z,12Z)-Octadeca-9,12-Dienethioate; (9Z,12Z)-Octadeca-9,12-Dienethioic Acid S-[2-[[3-[[(2R)-4-[[[(2R,3S,4R,5R)-5-(6-Amino-9-Purinyl)-4-Hydroxy-3-Phosphonooxy-2-Tetrahydrofuranyl]Methoxy-Hydroxyphosphoryl]Oxy-Hydroxyphosphoryl]Oxy-2-Hydroxy-3,3-Dimethyl-1-Oxobutyl]Amino]-1-Oxopropyl]Amino]Ethyl] Ester; (9Z,12Z)-Octadeca-9,12-Dienethioic Acid S-[2-[3-[[(2R)-4-[[[(2R,3S,4R,5R)-5-(6-Aminopurin-9-Yl)-4-Hydroxy-3-Phosphonooxy-Tetrahydrofuran-2-Yl]Methoxy-Hydroxy-Phosphoryl]Oxy-Hydroxy-Phosphoryl]Oxy-2-Hydroxy-3,3-Dimethyl-Butanoyl]Amino]Propanoylamino]Ethyl] Ester
Molecular Structure CAS#: 6709-57-5, Coenzyme A S-(9Z,12Z)-9,12-Octadecadienoate
Molecular Formula C39H66N7O17P3S
Molecular Weight 1029.97
CAS Registry Number 6709-57-5
SMILES [C@H]1(O[P](O)(O)=O)[C@@H](O)[C@@H](O[C@@H]1CO[P](O[P](OCC([C@@H](O)C(=O)NCCC(=O)NCCSC(=O)CCCCCCC\C=C/C/C=C\CCCCC)(C)C)(O)=O)(O)=O)[N]3C2=NC=NC(=C2N=C3)N
InChI 1S/C39H66N7O17P3S/c1-4-5-6-7-8-9-10-11-12-13-14-15-16-17-18-19-30(48)67-23-22-41-29(47)20-21-42-37(51)34(50)39(2,3)25-60-66(57,58)63-65(55,56)59-24-28-33(62-64(52,53)54)32(49)38(61-28)46-27-45-31-35(40)43-26-44-36(31)46/h8-9,11-12,26-28,32-34,38,49-50H,4-7,10,13-25H2,1-3H3,(H,41,47)(H,42,51)(H,55,56)(H,57,58)(H2,40,43,44)(H2,52,53,54)/b9-8-,12-11-/t28-,32-,33-,34+,38-/m1/s1
InChIKey YECLLIMZHNYFCK-RRNJGNTNSA-N
Properties
Density 1.512g/cm3 (Cal.)
Market Analysis Reports
Related Products
Coenzyme A S-He...  Coenzyme A S-(h...  (R)-Coenzyme A-...  Coenzyme A,S-[(...  Coenzyme A S-(h...  Coenzyme A isob...  Coenzyme A Lith...  Coenzyme M;2,2'...  Coenzyme A S-(2...  Coenzyme A-S-No...  Coenzyme A-S-Oc...  Coenzyme A,S-(9...  Coenzyme A S-Oc...  Coenzyme A S-(3...  Coenzyme A Pers...  Coenzyme A sodi...  Coenzyme A-S-Te...  Coenzyme A S-te...  Coetsoidin A  Coffee, Coffea ...