Online Database of Chemicals from Around the World

Kibdelin B
[CAS 103528-49-0]

Suppliers
CAS#: 103528-49-0
Product: Kibdelin B
No suppilers available for the product.
Identification
Name Kibdelin B
Synonyms Ristomycin A Aglycone, 5,22,31,55-Tetrachloro-7-Demethyl-64-O-Demethyl-56-O-(2-Deoxy-2-((9-Methyl-1-Oxodecyl)Amino)-Beta-D-Glucopyranosyl)-42-O-Alpha-D-Mannopyranosyl-N15-Methyl-
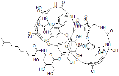
Molecular Structure CAS#: 103528-49-0, Kibdelin B
Molecular Formula C82H86Cl4N8O29
Molecular Weight 1789.43
CAS Registry Number 103528-49-0
SMILES N5C7C(NC1C(NC%10C(NC(C(C9=CC(=C(OC2=CC1=CC(=C2OC3C(C(C(C(O3)NC(=O)CCCCCCCC(C)C)O)O)CO)OC4=CC=C(C=C4Cl)C(C(C5=O)NC(C(C6=CC(=C(C=C6)O)OC8=CC7=C(C(=C8)O)Cl)NC)=O)O)C(=C9)Cl)Cl)O)C(NC(C%12=C(C%11=CC%10=CC=C%11O)C(=CC(=C%12)O)OC%13OC(C(C(C%13O)O)O)CO)C(O)=O)=O)=O)=O)=O
InChI 1S/C82H86Cl4N8O29/c1-30(2)9-7-5-4-6-8-10-54(101)88-79-69(107)66(104)41(28-95)81(123-79)122-72-51-22-34-23-52(72)119-71-43(84)19-35(20-44(71)85)65(103)63-78(114)92-61(80(115)116)39-24-36(97)25-50(120-82-70(108)68(106)67(105)53(29-96)121-82)55(39)38-17-31(11-14-45(38)98)58(74(110)94-63)89-75(111)59(34)90-76(112)60-40-26-37(27-47(100)56(40)86)117-49-21-32(12-15-46(49)99)57(87-3)73(109)93-62(77(113)91-60)64(102)33-13-16-48(118-51)42(83)18-33/h11-27,30,41,53,57-70,79,81-82,87,95-100,102-108H,4-10,28-29H2,1-3H3,(H,88,101)(H,89,111)(H,90,112)(H,91,113)(H,92,114)(H,93,109)(H,94,110)(H,115,116)
InChIKey ZEWPEKFPIQQXCA-UHFFFAOYSA-N
Properties
Density 1.7g/cm3 (Cal.)
Market Analysis Reports
Related Products
Khellin  Khellinone;1-(6...  Khelloside;4-Me...  Khusimol  KI696;(3s)-3-(7...  Ki23057  Ki 16425;3-[[[4...  KI-328  KI 8751;N-(2,4-...  Kibdelin A;Rist...  Kibdelin C1;Ris...  Kibdelin C2;Ris...  Kibdelin D;Rist...  Kidamycin;2-But...  Kidney Bean Ext...  Kieselguhr soda...  Kieserite;Magne...  Kievitone;3-(2,...  Kihadanin A;21,...  Kihadanin B;21,...