Online Database of Chemicals from Around the World

Kibdelin C1
[CAS 103549-47-9]

Suppliers
CAS#: 103549-47-9
Product: Kibdelin C1
No suppilers available for the product.
Identification
Name Kibdelin C1
Synonyms Ristomycin A Aglycone, 5,22,31,55-Tetrachloro-7-Demethyl-64-O-Demethyl-56-O-(2-Deoxy-2-((10-Methyl-1-Oxoundecyl)Amino)-Beta-D-Glucopyranosyl)-42-O-Alpha-D-Mannopyranosyl-N15-Methyl-
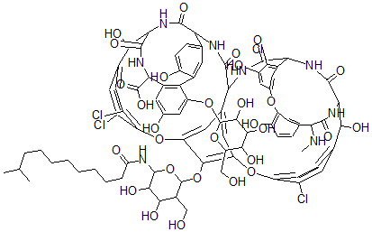
Molecular Structure CAS#: 103549-47-9, Kibdelin C1
Molecular Formula C83H88Cl4N8O29
Molecular Weight 1803.46
CAS Registry Number 103549-47-9
SMILES N5C7C(NC1C(NC%10C(NC(C(C9=CC(=C(OC2=CC1=CC(=C2OC3C(C(C(C(O3)NC(=O)CCCCCCCCC(C)C)O)O)CO)OC4=CC=C(C=C4Cl)C(C(C5=O)NC(C(C6=CC(=C(C=C6)O)OC8=CC7=C(C(=C8)O)Cl)NC)=O)O)C(=C9)Cl)Cl)O)C(NC(C%12=C(C%11=CC%10=CC=C%11O)C(=CC(=C%12)O)OC%13OC(C(C(C%13O)O)O)CO)C(O)=O)=O)=O)=O)=O
InChI 1S/C83H88Cl4N8O29/c1-31(2)10-8-6-4-5-7-9-11-55(102)89-80-70(108)67(105)42(29-96)82(124-80)123-73-52-23-35-24-53(73)120-72-44(85)20-36(21-45(72)86)66(104)64-79(115)93-62(81(116)117)40-25-37(98)26-51(121-83-71(109)69(107)68(106)54(30-97)122-83)56(40)39-18-32(12-15-46(39)99)59(75(111)95-64)90-76(112)60(35)91-77(113)61-41-27-38(28-48(101)57(41)87)118-50-22-33(13-16-47(50)100)58(88-3)74(110)94-63(78(114)92-61)65(103)34-14-17-49(119-52)43(84)19-34/h12-28,31,42,54,58-71,80,82-83,88,96-101,103-109H,4-11,29-30H2,1-3H3,(H,89,102)(H,90,112)(H,91,113)(H,92,114)(H,93,115)(H,94,110)(H,95,111)(H,116,117)
InChIKey KVTBZHRLYBPWNG-UHFFFAOYSA-N
Properties
Density 1.69g/cm3 (Cal.)
Market Analysis Reports
Related Products
Khellinone;1-(6...  Khelloside;4-Me...  Khusimol  KI696;(3s)-3-(7...  Ki23057  Ki 16425;3-[[[4...  KI-328  KI 8751;N-(2,4-...  Kibdelin A;Rist...  Kibdelin B;Rist...  Kibdelin C2;Ris...  Kibdelin D;Rist...  Kidamycin;2-But...  Kidney Bean Ext...  Kieselguhr soda...  Kieserite;Magne...  Kievitone;3-(2,...  Kihadanin A;21,...  Kihadanin B;21,...  Kijanimicin;Fro...