| Achemica | Switzerland | |||
|---|---|---|---|---|
![]() |
+41 (24) 466-2929 | |||
![]() |
contact@achemica.com | |||
| Chemical manufacturer since 2010 | ||||
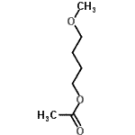
| Name | 4-Methoxybutyl Acetate |
|---|---|
| Synonyms | 4-Methoxy-1-butanol acetate |
| Molecular Structure | ![]() |
| Molecular Formula | C7H14O3 |
| Molecular Weight | 146.18 |
| CAS Registry Number | 1330-49-0 |
| SMILES | O=C(C)OCCCCOC |
| InChI | 1S/C7H14O3/c1-7(8)10-6-4-3-5-9-2/h3-6H2,1-2H3 |
| InChIKey | LMLBDDCTBHGHEO-UHFFFAOYSA-N |
| Density | 0.95g/cm3 (Cal.) |
|---|---|
| Boiling point | 176.897°C at 760 mmHg (Cal.) |
| Flash point | 56.521°C (Cal.) |
| Refractive index | 1.408 (Cal.) |
| Market Analysis Reports |