Online Database of Chemicals from Around the World

3-(3-Methoxybutoxyiminomethyl)Rifamycin SV
[CAS 52370-28-2]

Suppliers
CAS#: 52370-28-2
Product: 3-(3-Methoxybutoxyiminomethyl)Rifamycin SV
No suppilers available for the product.
Identification
Name 3-(3-Methoxybutoxyiminomethyl)Rifamycin SV
Synonyms Brn 5418514; 2,7-(Epoxypentadeca(1,11,13)Trienimino)Naphtho(2,1-B)Furan-1,11(2H)-Dione, 3-Formyl-5,6,9,17,19,21-Hexahydroxy-23-Methoxy-2,4,12,16,18,20,22-Heptamethyl-, 21-Acetate, O-(3-Methoxybutyl)Oxime
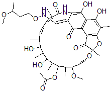
Molecular Structure CAS#: 52370-28-2, 3-(3-Methoxybutoxyiminomethyl)Rifamycin SV
Molecular Formula C43H58N2O14
Molecular Weight 826.94
CAS Registry Number 52370-28-2
SMILES C(ON/C=C2/C(=O)C1=C3C(=C(C4=C1C(=O)C(O/C=C/C(OC)C(C(OC(=O)C)C(C(O)C(C(O)C(C)\C=C\C=C(C(=O)NC2=C3O)\C)C)C)C)(O4)C)C)O)CC(OC)C
InChI 1S/C43H58N2O14/c1-20-13-12-14-21(2)42(53)45-33-28(19-44-57-18-15-22(3)54-10)37(50)30-31(38(33)51)36(49)26(7)40-32(30)41(52)43(9,59-40)56-17-16-29(55-11)23(4)39(58-27(8)46)25(6)35(48)24(5)34(20)47/h12-14,16-17,19-20,22-25,29,34-35,39,44,47-49,51H,15,18H2,1-11H3,(H,45,53)/b13-12+,17-16+,21-14-,28-19+
InChIKey PBIRPVZUYCXQFI-SYIUEMHUSA-N
Market Analysis Reports
Related Products
4-Methoxybut-2-...  2-Methoxy-3-But...  1-Methoxy-1-but...  (3E)-4-Methoxyb...  1-Methoxybut-3-...  1-(1-Methoxy-3-...  [(2S,3E)-4-Meth...  (Z)-1-Methoxybu...  (-)-3-Methoxy B...  (-)-3-Methoxy B...  2-METHOXYBUTYL ...  4-Methoxybutyl ...  4-Methoxybutyl ...  3-Methoxybutyl ...  4-Methoxybutyla...  alpha-[1-[(4-Me...  alpha-[[(4-Meth...  alpha-[[(4-Meth...  1-(4-Methoxybut...  3-Methoxybutyl ...