| BOC Sciences | USA | |||
|---|---|---|---|---|
![]() | www.bocsci.com | |||
![]() | +1 (631) 485-4226 | |||
![]() | +1 (631) 614-7828 | |||
![]() | info@bocsci.com | |||
| Chemical manufacturer | ||||
| chemBlink Standard supplier since 2010 | ||||
| Glentham Life Sciences | UK | |||
|---|---|---|---|---|
![]() | www.glenthamls.com | |||
![]() | +44 (2033) 978-798 | |||
![]() | +44 (2033) 978-909 | |||
![]() | info@glenthamls.com | |||
| Chemical distributor since 2013 | ||||
| chemBlink Standard supplier since 2013 | ||||
| R&D Scientific Inc. | Canada | |||
|---|---|---|---|---|
![]() | www.rdscientific.com | |||
![]() | +1 (226) 600-0236 | |||
![]() | sales@rdscientific.com | |||
| Chemical manufacturer since 2016 | ||||
| chemBlink Standard supplier since 2023 | ||||
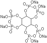
| Name | Inositol cyclic-1,2:3,4:5,6-tris(P,P'-dihydrogen diphosphate) hexasodium salt |
|---|---|
| Molecular Structure | ![]() |
| Molecular Formula | C6H6O21P6.6Na |
| Molecular Weight | 737.88 |
| CAS Registry Number | 23103-35-7 |
| Market Analysis Reports |