全球化学品在线数据库

环己六醇环-1,2:3,4:5,6-三(P,P'-二氢二磷酸酯)六钠盐
[CAS 23103-35-7]

供应商目录
BOC Sciences 美国
www.bocsci.com
+1 (631) 485-4226
+1 (631) 614-7828
info@bocsci.com
化学品生产商
chemBlink 标准供应商 (2010年起)
Glentham Life Sciences 英国
www.glenthamls.com
+44 (2033) 978-798
+44 (2033) 978-909
info@glenthamls.com
化学品供销商 (2013年起)
chemBlink 标准供应商 (2013年起)
R&D Scientific Inc. 加拿大
www.rdscientific.com
+1 (226) 600-0236
sales@rdscientific.com
化学品生产商 (2016年起)
chemBlink 标准供应商 (2023年起)

基本信息
产品名称环己六醇环-1,2:3,4:5,6-三(P,P'-二氢二磷酸酯)六钠盐
英文名Inositol cyclic-1,2:3,4:5,6-tris(P,P'-dihydrogen diphosphate) hexasodium salt
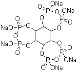
分子结构环己六醇环-1,2:3,4:5,6-三(P,P'-二氢二磷酸酯)六钠盐分子结构 (CAS 23103-35-7)
分子式C6H6O21P6.6Na
分子量737.88
CAS 登录号23103-35-7
市场分析报告
相关产品
5-[[4-(2-环己基乙氧基...  2-[[4-(2-环己基乙氧基...  2-环己基异吲哚-1,3-二酮  2-环己基异吲哚啉  环己基月桂酸酯  4-环己基正丁胺  环己基棕榈酸酯  2-(环己基-棕榈酰氨基)乙烷...  N-环己基-N-棕榈酰氨基乙磺...  环己硫醇  环己六酮十水合物  环己醛缩氨基脲  (1alpha,2alpha,...  环己三烯  (2,2,6,6-<sup>2...  环己酮  环己酮 2,4-二硝基苯基腙  环己酮 2-苯基腙  环己酮 O-(N-羧基-L-苏...  2-(2-环己酮)-2-羟基乙...