Online Database of Chemicals from Around the World

Cy7 (Cyanine 7)
[CAS 477908-53-5]

List of Suppliers
Creative Peptides USA
www.creative-peptides.com
+1 (631) 624-4882
+1 (631) 614-7828
info@creative-peptides.com
Chemical manufacturer
chemBlink Standard supplier since 2010
Hangzhou Leap Chem Co., Ltd. China
www.leapchem.com
+86 (571) 8771-1850
market19@leapchem.com
QQ Chat
Chemical manufacturer since 2006
chemBlink Standard supplier since 2015
Amadis Chemical Co., Ltd. China
www.amadischem.com
+86 (571) 8992-5085
+86 (571) 8992-5065
sales@amadischem.com
Chemical manufacturer since 2010
chemBlink Standard supplier since 2015
Wonderchem Co., Limited Hong Kong
www.wonder-chem.com
+852 8192-5218
sales@wonder-chem.com
Chemical distributor since 2016
chemBlink Standard supplier since 2017

Identification
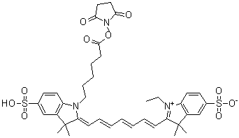
NameCy7 (Cyanine 7)
Synonyms2-[7-[1-[6-[(2,5-Dioxo-1-pyrrolidinyl)oxy]-6-oxohexyl]-1,3-dihydro-3,3-dimethyl-5-sulfo-2H-indol-2-ylidene]-1,3,5-heptatrienyl]-1-ethyl-3,3-dimethyl-5-sulfo-3H-indolium inner salt
Molecular StructureCy7 (Cyanine 7) molecular structure (CAS 477908-53-5)
Molecular FormulaC39H45N3O10S2
Molecular Weight779.92
CAS Registry Number477908-53-5
Safety Data
SDSAvailable
Market Analysis Reports
Related Products
Cyclo(L-valyl-L...  Cyclo(Valylvaly...  Cycloviracin B1  Cyclovirobuxin ...  Cycloxydim  Cycluron  Cycluron  Cycolate  Cycotiamine  Cycrimine  Cy7 DiC18  Cy5 dic18  CyDye DIGE Fluo...  Cyflumetofen  Cyfluthrin  trans-Cyfluthri...  Cyhalofop-butyl  Lambda-cyhaloth...  Cyhalothrin  gamma-Cyhalothr...