Identification
| Name |
[1-[(2-Amino-2-Oxoethyl)Amino]-4-Methyl-1-Oxopentan-2-Yl] 1-[19-Amino-7-(2-Amino-2-Oxoethyl)-10-(3-Amino-3-Oxopropyl)-13-Butan-2-Yl-16-[(4-Hydroxyphenyl)Methyl]-6,9,12,15,18-Pentaoxo1,2-Dithia-5,8,11,14,17-Pentazacycloicosane-4-Carbonyl]Pyrrolidine-2-Carboxylate |
| Synonyms |
[1-[(2-Amino-2-Oxo-Ethyl)Carbamoyl]-3-Methyl-Butyl] 1-[19-Amino-7-(2-Amino-2-Oxo-Ethyl)-10-(3-Amino-3-Oxo-Propyl)-16-[(4-Hydroxyphenyl)Methyl]-6,9,12,15,18-Pentaoxo-13-Sec-Butyl-1,2-Dithia-5,8,11,14,17-Pentazacycloicosane-4-Carbonyl]Pyrrolidine-2-Carboxylate; 1-[[19-Amino-7-(2-Amino-2-Oxoethyl)-10-(3-Amino-3-Oxopropyl)-16-[(4-Hydroxyphenyl)Methyl]-6,9,12,15,18-Pentaoxo-13-Sec-Butyl-1,2-Dithia-5,8,11,14,17-Pentazacycloicos-4-Yl]-Oxomethyl]-2-Pyrrolidinecarboxylic Acid [1-[[(2-Amino-2-Oxoethyl)Amino]-Oxomethyl]-3-Methylbutyl] Ester; 1-[19-Amino-7-(2-Amino-2-Keto-Ethyl)-10-(3-Amino-3-Keto-Propyl)-16-(4-Hydroxybenzyl)-6,9,12,15,18-Pentaketo-13-Sec-Butyl-1,2-Dithia-5,8,11,14,17-Pentazacycloicosane-4-Carbonyl]Pyrrolidine-2-Carboxylic Acid [1-[(2-Amino-2-Keto-Ethyl)Carbamoyl]-3-Methyl-Butyl] Ester |
|
| Molecular Structure |
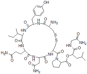
![CAS#: 75607-76-0, [1-[(2-Amino-2-Oxoethyl)Amino]-4-Methyl-1-Oxopentan-2-Yl] 1-[19-Amino-7-(2-Amino-2-Oxoethyl)-10-(3-Amino-3-Oxopropyl)-13-Butan-2-Yl-16-[(4-Hydroxyphenyl)Methyl]-6,9,12,15,18-Pentaoxo1,2-Dithia-5,8,11,14,17-Pentazacycloicosane-4-Carbonyl]Pyrrolidine-2-Carboxylate](/moreStructures/75607-76-0.gif) |
| Molecular Formula |
C43H65N11O13S2 |
| Molecular Weight |
1008.17 |
| CAS Registry Number |
75607-76-0 |
| SMILES |
C3=C(CC1NC(=O)C(N)CSSCC(NC(=O)C(NC(=O)C(NC(=O)C(NC1=O)C(CC)C)CCC(=O)N)CC(=O)N)C(=O)N2C(C(OC(C(=O)NCC(=O)N)CC(C)C)=O)CCC2)C=CC(=C3)O |
| InChI |
1S/C43H65N11O13S2/c1-5-22(4)35-41(64)49-26(12-13-32(45)56)37(60)51-28(17-33(46)57)38(61)52-29(20-69-68-19-25(44)36(59)50-27(39(62)53-35)16-23-8-10-24(55)11-9-23)42(65)54-14-6-7-30(54)43(66)67-31(15-21(2)3)40(63)48-18-34(47)58/h8-11,21-22,25-31,35,55H,5-7,12-20,44H2,1-4H3,(H2,45,56)(H2,46,57)(H2,47,58)(H,48,63)(H,49,64)(H,50,59)(H,51,60)(H,52,61)(H,53,62) |
| InChIKey |
LTQDOSYZJIQEAM-UHFFFAOYSA-N |
|