Identification
| Name |
N-[1-[(2-Amino-2-Oxoethyl)Amino]-4-Methyl-1-Oxopentan-2-Yl]-1-[7-(2-Amino-2-Oxoethyl)-10-(3-Amino-3-Oxopropyl)-13-Butan-2-Yl-16-[(4-Ethoxyphenyl)Methyl]-6,9,12,15,18-Pentaoxo1,2-Dithia-5,8,11,14,17-Pentazacycloicosane-4-Carbonyl]Pyrrolidine-2-Carboxamide |
| Synonyms |
1-[7-(2-Amino-2-Oxo-Ethyl)-10-(3-Amino-3-Oxo-Propyl)-16-[(4-Ethoxyphenyl)Methyl]-6,9,12,15,18-Pentaoxo-13-Sec-Butyl-1,2-Dithia-5,8,11,14,17-Pentazacycloicosane-4-Carbonyl]-N-[1-[(2-Amino-2-Oxo-Ethyl)Carbamoyl]-3-Methyl-Butyl]Pyrrolidine-2-Carboxamide; N-[1-[[(2-Amino-2-Oxoethyl)Amino]-Oxomethyl]-3-Methylbutyl]-1-[[7-(2-Amino-2-Oxoethyl)-10-(3-Amino-3-Oxopropyl)-16-[(4-Ethoxyphenyl)Methyl]-6,9,12,15,18-Pentaoxo-13-Sec-Butyl-1,2-Dithia-5,8,11,14,17-Pentazacycloicos-4-Yl]-Oxomethyl]-2-Pyrrolidinecarboxamide; 1-[7-(2-Amino-2-Keto-Ethyl)-10-(3-Amino-3-Keto-Propyl)-16-(4-Ethoxybenzyl)-6,9,12,15,18-Pentaketo-13-Sec-Butyl-1,2-Dithia-5,8,11,14,17-Pentazacycloicosane-4-Carbonyl]-N-[1-[(2-Amino-2-Keto-Ethyl)Carbamoyl]-3-Methyl-Butyl]Pyrrolidine-2-Carboxamide |
|
| Molecular Structure |
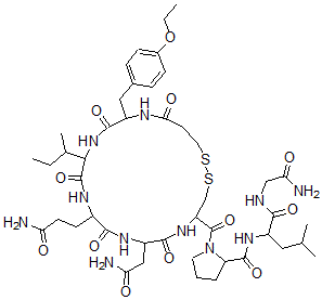
![CAS#: 77648-79-4, N-[1-[(2-Amino-2-Oxoethyl)Amino]-4-Methyl-1-Oxopentan-2-Yl]-1-[7-(2-Amino-2-Oxoethyl)-10-(3-Amino-3-Oxopropyl)-13-Butan-2-Yl-16-[(4-Ethoxyphenyl)Methyl]-6,9,12,15,18-Pentaoxo1,2-Dithia-5,8,11,14,17-Pentazacycloicosane-4-Carbonyl]Pyrrolidine-2-Carboxamide](/moreStructures/77648-79-4.gif) |
| Molecular Formula |
C45H69N11O12S2 |
| Molecular Weight |
1020.23 |
| CAS Registry Number |
77648-79-4 |
| SMILES |
C3=C(CC1NC(=O)CCSSCC(NC(=O)C(NC(=O)C(NC(=O)C(NC1=O)C(CC)C)CCC(=O)N)CC(=O)N)C(=O)N2C(C(=O)NC(C(=O)NCC(=O)N)CC(C)C)CCC2)C=CC(=C3)OCC |
| InChI |
1S/C45H69N11O12S2/c1-6-25(5)38-44(66)51-28(14-15-34(46)57)40(62)52-31(21-35(47)58)41(63)54-32(45(67)56-17-8-9-33(56)43(65)53-29(19-24(3)4)39(61)49-22-36(48)59)23-70-69-18-16-37(60)50-30(42(64)55-38)20-26-10-12-27(13-11-26)68-7-2/h10-13,24-25,28-33,38H,6-9,14-23H2,1-5H3,(H2,46,57)(H2,47,58)(H2,48,59)(H,49,61)(H,50,60)(H,51,66)(H,52,62)(H,53,65)(H,54,63)(H,55,64) |
| InChIKey |
JFRPDYRVGGIJJM-UHFFFAOYSA-N |
|