全球化学品在线数据库

杠柳苷K
[CAS 119902-16-8]

供应商
CAS#: 119902-16-8
产品: 杠柳苷K
暂时没有厂家供应该产品。
基本信息
产品名称 杠柳苷K
英文名 Periplocoside K
别名 2-[[17-[1-[5'-[5-[5-[5-(3,5-Dihydroxy-4-Methoxy-6-Methyl-Tetrahydropyran-2-Yl)Oxy-4-Methoxy-6-Methyl-Tetrahydropyran-2-Yl]Oxy-4-Hydroxy-6-Methyl-Tetrahydropyran-2-Yl]Oxy-4-Hydroxy-6-Methyl-Tetrahydropyran-2-Yl]Oxy-4'-Methoxy-6',9-Dimethyl-Spiro[4,5A,6,7,9,9A-Hexahydropyrano[4,5-F][1,2,5]Trioxepine-3,2'-Tetrahydropyran]-7-Yl]Oxyethyl]-17-Hydroxy-10,13-Dimethyl-1,2,3,4,7,8,9,11,12,14,15,16-Dodecahydrocyclopenta[A]Phenanthren-3-Yl]Oxy]-4-Methoxy-6-Methyl-6H-Pyran-3-One; 2-[[17-[1-[[5'-[[5-[[5-[[5-[(3,5-Dihydroxy-4-Methoxy-6-Methyl-2-Tetrahydropyranyl)Oxy]-4-Methoxy-6-Methyl-2-Tetrahydropyranyl]Oxy]-4-Hydroxy-6-Methyl-2-Tetrahydropyranyl]Oxy]-4-Hydroxy-6-Methyl-2-Tetrahydropyranyl]Oxy]-4'-Methoxy-6',9-Dimethyl-7-Spiro[4,5A,6,7,9,9A-Hexahydropyrano[4,5-F][1,2,5]Trioxepine-3,2'-Tetrahydropyran]Yl]Oxy]Ethyl]-17-Hydroxy-10,13-Dimethyl-1,2,3,4,7,8,9,11,12,14,15,16-Dodecahydrocyclopenta[A]Phenanthren-3-Yl]Oxy]-4-Methoxy-6-Methyl-6H-Pyran-3-One; 2-[[17-[1-[5'-[5-[5-[5-(3,5-Dihydroxy-4-Methoxy-6-Methyl-Oxan-2-Yl)Oxy-4-Methoxy-6-Methyl-Oxan-2-Yl]Oxy-4-Hydroxy-6-Methyl-Oxan-2-Yl]Oxy-4-Hydroxy-6-Methyl-Oxan-2-Yl]Oxy-4'-Methoxy-6',9-Dimethyl-Spiro[4,5A,6,7,9,9A-Hexahydropyrano[4,5-F][1,2,5]Trioxepine-3,2'-Oxane]-7-Yl]Oxyethyl]-17-Hydroxy-10,13-Dimethyl-1,2,3,4,7,8,9,11,12,14,15,16-Dodecahydrocyclopenta[A]Phenanthren-3-Yl]Oxy]-4-Methoxy-6-Methyl-6H-Pyran-3-One
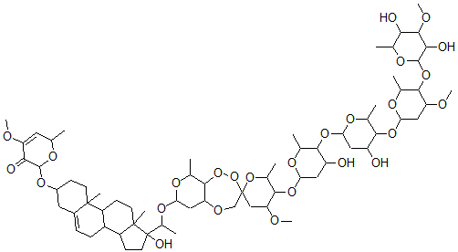
分子结构 CAS 登录号:119902-16-8, 杠柳苷K
分子式 C68H108O26
分子量 1341.59
CAS 登录号 119902-16-8
分子行输入简码 SMILES CC8%10C(C(OC2OC(C1OOC7(COC1C2)OC(C(OC3OC(C)C(C(C3)O)OC4OC(C)C(C(C4)O)OC6OC(C(OC5C(C(OC)C(C(O5)C)O)O)C(C6)OC)C)C(C7)OC)C)C)C)(CCC8C9CC=C%12C(C9CC%10)(CCC(OC%11C(C(=CC(O%11)C)OC)=O)C%12)C)O
国际化学标识码 InChI 1S/C68H108O26/c1-31-23-46(75-11)55(72)63(80-31)87-40-17-20-65(9)39(24-40)15-16-41-42(65)18-21-66(10)43(41)19-22-68(66,74)38(8)86-52-28-48-61(36(6)84-52)93-94-67(30-79-48)29-49(77-13)60(37(7)92-67)90-51-26-45(70)57(33(3)82-51)88-50-25-44(69)58(34(4)81-50)89-53-27-47(76-12)59(35(5)83-53)91-64-56(73)62(78-14)54(71)32(2)85-64/h15,23,31-38,40-45,47-54,56-64,69-71,73-74H,16-22,24-30H2,1-14H3
国际化学标识检索码 InChIKey FDCCEOXJPADEMN-UHFFFAOYSA-N
物理化学性质
密度 1.332g/cm3 (计算值)
市场分析报告
相关产品
甘尔布林  Ganetespib; 3-(...  甘氟  杠柳毒苷  杠柳苷 M  杠柳苷 N  杠柳苷B  杠柳苷D  杠柳苷F  杠柳苷J  杠柳苷O  杠柳苷元  杠柳寡糖 B  杠柳寡糖 C  杠柳麻甙  干汞-升汞混合物  岗稔毒素  冈田软海绵酸钠盐  冈田酸  冈田酸铵盐