| LKT Laboratories, Inc. | 美国 | |||
|---|---|---|---|---|
![]() | www.lktlabs.com | |||
![]() | +1 (888) 558-5227 | |||
![]() | +1 (651) 644-8357 | |||
![]() | peacerli@mbolin-lktlabs.com | |||
| 化学品生产商 | ||||
| Santa Cruz Biotechnology, Inc. | 美国 | |||
|---|---|---|---|---|
![]() | www.scbt.com | |||
![]() | +1 (831) 457-3800 | |||
![]() | +1 (831) 457-3801 | |||
![]() | scbt@scbt.com | |||
| 化学品生产商 | ||||
| 产品名称 | 冈田软海绵酸钠盐 |
|---|---|
| 英文名 | Okadaic acid sodium salt |
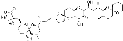
| 分子结构 | ![]() |
| 分子式 | C44H67O13.Na |
| 分子量 | 826.98 |
| CAS 登录号 | 209266-80-8 |
| EC 号码 | 606-670-6 |
| 危险品标志 | |||||||||||||||||||||
|---|---|---|---|---|---|---|---|---|---|---|---|---|---|---|---|---|---|---|---|---|---|
| 危害标签 | R23/24/25;R38 说明 | ||||||||||||||||||||
| 防护标签 | S26;S36/37;S45 说明 | ||||||||||||||||||||
| 危害分类 | |||||||||||||||||||||
| |||||||||||||||||||||
| 危险品运输编号 | UN 3462 6.1 / PGI | ||||||||||||||||||||
| SDS | 化学品安全技术说明书参考文本 | ||||||||||||||||||||
| 市场分析报告 |